In p-type semiconductor, acceptor energy level is just above valence band (fig. 3.10).
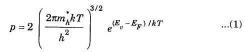
CONCENTRATION OF HOLES IN VALENCE BAND OF p-TYPE SEMICONDUCTORS [Derivation] In p-type semiconductor, acceptor energy level is just above valence band (fig. 3.10). Density of holes per unit volume in valence band is given by Ev → Energy corresponding to top most level of valence band. Density of ionised acceptors = NaF (Ea) ......(1) Na - the number of acceptor atoms per unit volume. Ea - acceptor energy level Here, F (Ea) is probability for finding electron in acceptor energy level ie., ionised acceptor. The eqn (1) becomes, density of ionised acceptors Taking log on both sides in eqn (5), we have Rearranging, Substituting eqn of EF, from (7) in (1), we get where ΔE = Ea - Ev is the ionisation energy of acceptors. • Density of holes in valence band is proportional to the square root of acceptor concentration. • At high temperature, we must take into account the intrinsic carrier concentration of semiconductor due to breaking of covalent bond along hole concentration produced by acceptor impurity. • At very high temperature, intrinsic carrier concentration over takes holes due to acceptor concentration. i.e., At very high temperature, p-type semiconductor behaves like an intrinsic semiconductor and acceptor concentration becomes insignificant.






Results
Materials Science: Unit III: Semiconductors and Transport Physics : Tag: : - Concentration of holes in valence band of p-type semiconductors [derivation]
Materials Science
PH3251 2nd semester Mechanical Dept | 2021 Regulation | 2nd Semester Mechanical Dept 2021 Regulation