The energy band diagram of n-type semiconductor is shown in figure 3.8. In n-type semiconductor, the donor level is just below conduction band.
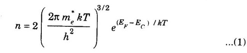
CARRIER CONCENTRATION IN n-TYPE SEMICONDUCTORS [Derivation] The energy band diagram of n-type semiconductor is shown in figure 3.8. In n-type semiconductor, the donor level is just below conduction band. Density of electrons per unit volume in conduction band is given by EC - Energy corresponding to the bottom most level of conduction band. Density of ionised donors = Nd [1 - F (Ed)] Since, F (Ed) is the probability for finding electron in donor energy level (unionised donor), therefore 1-F (Ed) is the probability for finding ionised donors. Ed represents the donor energy level and Nd denotes donor concentration i.e., the number of donor atoms per unit volume of the material. At equilibrium, the density of electron in conduction band is equal to the density of ionised donors. Equating (1) and (4), we get Taking log on both sides, we have Substituting the expression of Eg from (7) in (1), we get Rearranging the expression (9), we get where ΔE = EC - Ed is the ionisation energy of the donor. i.e., ΔE denotes the amount of energy required to transfer an electron from donor energy level Ed to conduction band EC. • The density of electrons in conduction band is proportional to the square root of the donor concentration. The equation (11) is valid only at low temperatures. • At high temperature, we must take into account of intrinsic carrier concentration of semiconductor due to breaking of covalent bond along with electron concentration produced by donor impurity. • At very high temperatures, intrinsic carrier concentration which is generated thermally due to breaking of covalent bond over takes electrons due to donor impurity. • That is, at very high temperature, n-type semiconductor behaves like intrinsic semiconductor and donor concentration becomes insignificant. Fermi level gives the probability of finding an electron at a given energy value. If Fermi level lies exactly at the middle of the two levels, then the probability of finding an electron is half, e.g., as in an intrinsic semiconductor. In extrinsic semiconductor, Fermi level strongly depends on temperature as well as the nature of doping and doping concentration. The Fermi level is little below conduction band in n-type semiconductor and it is just above valence band in p-type semiconductor. When a small amount of trivalent impurity is doped to a pure semiconductor, it becomes p-type semi-conductor. The addition of trivalent impurity provides a large number of holes in semiconductor. Typical examples of trivalent impurities are gallium (Atomic No: 31) and indium (Atomic No. 49). Such impurities are known as acceptor impurities because holes created can accept electrons. In a pure semiconductor (germanium) having 4 valence electrons, if a trivalent impurity (boron) having '3' valence electrons is added, then 3 valence electrons of trivalent impurity form a covalent bond with three valence electrons of germanium. The fourth valence electron of Ge atom is unable to form a covalent bond. The incomplete covalent bond is being short of one electron. This missing electron is called a hole. (Fig. 3.9(a)) Every trivalent impurity atom contributes one hole in addition to thermally generated electron - hole pairs. Therefore, number of holes is more than number of electrons. The addition of trivalent impurity creates large number of holes (positive charge carriers) in semiconductor and hence it is called p-type semiconductor where p stands for positive type. Hence in this type of semiconductor, holes are majority charge carriers and electrons are minority charge carriers. In this case, allowable energy level (acceptor energy level) is created just above valence band (fig. 3.9(b)). A very small amount of energy is needed for an electron to enter acceptor energy level from valence band. Thus, a hole is generated in the valence band corresponding to each ionised acceptor. In other words, a large number of positive charge carriers are created.






Results
Fermi level
p - type semiconductor

Materials Science: Unit III: Semiconductors and Transport Physics : Tag: : - Carrier Concentration in n-Type Semiconductors [Derivation]
Materials Science
PH3251 2nd semester Mechanical Dept | 2021 Regulation | 2nd Semester Mechanical Dept 2021 Regulation