2 Marks Question & Answers: Electrical Machines - Basic Electrical and Electronics Engineering
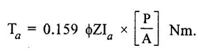
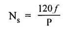
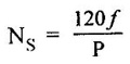
2 MARKS QUESTION & ANSWERS 1. Write the difference between a DC generator and DC motor. An electrical machine is an electromechanical energy conversion device. The device which converts electrical energy in to mechanical energy is called a motor. The device which converts mechanical energy in to electrical energy is called a generator. 2. List the main parts of a de machine. The main parts of a de machine are stator and rotor. Stator consists of 1. Yoke 2. Poles 3. Field winding (or) Field coils Rotor consist of: 1. Armature-Armature core, Armature winding 2. Commutator 3. Brushes, Bearing 3. Write the voltage equation of the de motor. V = Eb + Ia Ra where Eb = back emf Ia = Armature current Ra = Armature resistance 4. Write down emf equation of de generator. where Eg = generated emf ϕ = flux per pole in weber Z = Total no. of armature conductors N = Speed of armature in rpm P = Number of poles. A = Number of parallel paths 5. What is the purpose of yoke in a de machine? (i) It provides mechanical support for the poles and act as a protecting cover for the whole machine. (ii) It carries the magnetic flux produced by the poles. 6. What is function of commutator in a de machine? It is the outermost cylindrical part of the machine. The yoke is made up of solid cast iron or cast steel or forged steel. The yoke acts as the protecting cover for the machine and also provides a return path for magnetic flux created by filed windings. 7. What are the types of DC generators? 1. Separately excited DC generator 2. Self excited DC generator Self excited DC generator can again be classified as 1) DC Series generator 2) DC Shunt generator and 3) DC Compound generator. 8. Write the principle of DC motor. A device which converts DC electrical energy to a mechanical energy is known as d.c. motor. Its operation is based on the principle that whenever a current carrying conductor is placed in a static magnetic field, it experiences a mechanical force. This force is employed on the conductor and hence the conductor is moved away from the field. The direction of this force is given by fleming's left hand rule and magnitude is given by F = BIl newtons 9. What is meant by back emf in a DC motor? When the armature rotates in the magnetic field, the armature cuts the magnetic flux. According to the electromagnetic induction, an emf is induced in the armature conductors. But according to lenz's law, this induced emf will oppose the voltages applied to the armature, hence it is called Counter emf or back emf. A potential drop also occurs in the armature circuit due to the armature resistance. The back emf like in case of a generator is represented by Where, P = no of poles ϕ = flux per pole Z = No. of conductors A = No. of parallel paths and N is the speed of the DC Motor. 10. What are the types of DC motors ? 1. DC shunt motor 2. DC series motor 3. DC compound motor (i) Long shunt DC compound motor (ii) Short shunt DC compound motor 11. Write the expression for torque equation of a DC motor. 12. How can the alternating current waveform in the armature be converted into a DC waveform? The basic nature of emf induced in the armature conductor is alternating current waveform. This needs rectification in case of DC generator which is made possible by a device called commutator. 13. What is a transformer? Transformer is a static device, which transforms the electrical power from one circuit to another circuit at the same frequency. It operates on the principle of mutual induction. 14. Define voltage transformation ratio of transformer. The transformation ratio is defined as the ratio of the secondary voltage to primary voltage. It is denoted by K. ● If N2 > N1 (i..e,) K > 1 then transformer is called step-up transformer. ● If N2 < N1 (i.e.,) K < 1, then transformer is called step-down transformer. 15. Define efficiency of a transformer. The commercial efficiency of transformer is defined as ratio of output power to input power. i.e., 16. Define all day efficiency. All-day efficiency is defined as the ratio of the output energy to the input energy, over 24 hour period. This η is always less than the commercial η of the transformer. 17. Why single phase induction motor is not a self starting? Unlike a 3ϕ induction motor, a single phase induction motor is not self starting but it requires some starting means. When the stator winding of single phase induction motor is connected to single phase AC supply, a magnetic field developed which is pulsating, varying sinusoidally with time. The field polarity reverses after each clock cycle but field does not rotate. Consequently, alternating flux cannot produce rotation in a stationary squirrel-case rotor. However, if the rotor is rotated in one direction by hand or by other means, it will continue to rotate in the same direction developing torque. Thus a single phase induction motor is not self starting and requires some special means for starting. 18. What are the types of single phase induction motor based on methods of making them self starting? (i) Split-phase induction motors (ii) Capacitor start induction motor (iii) Capacitor run induction motor (iv) Capacitor start and capacitor run induction motors (v) Shaded pole single phase induction motors 19. Define synchronous speed. The speed at which the rotating magnetic field rotates in the stator is called as 'synchronous speed', Ns, where, f - Frequency of supply P - Number of stator poles. 20. In a single phase induction motor what are two windings and what their purpose? 1. Stator winding - To produce an alternating magnetic field 2. Rotor winding - To produce the rotating torque. 21. What are the applications of split phase induction motor? (i) Fans (ii) Blowers (iii) Centrifugal pumps (iv) Washing machines. 22. What is an alternator? An alternator or AC generator is a synchronous machine which converts mechanical energy into electrical energy and produces alternating emf. 23. What is the principle of an alternator? The alternator works on the principle of Faraday's law of electromagnetic induction. Whenever a conductor links with a magnetic field, either the conductor is moving, or the field is moving, an emf is induced in the conductor. 24. What are the different types of alternators? Which is in common use? Alternators are of two types : (i) Rotating armature type. (ii) Rotating field and stationary armature type. Rotating field type is commonly used. 25. What are the main parts of an alternator? The main parts of an alternator are (i) Rotor (Salient pole type or cylindrical type), (ii) Stator (Frame, core and Armature conductors) and (iii) Exciter. 26. What is the relation between speed and frequency of an alternator? 27. Enlist the advantages and disadvantages of synchronous motor. Advantages of Synchronous motor (1) The speed is constant and independent of load. (ii) These motors usually operate at higher efficiencies. (iii) Electromagnetic power varies linearly with the voltage. (iv) These motors can be constructed with wider air gaps than induction motors, which make them better mechanically. (v) An over excited synchronous motor having a leading power factor can be operated in parallel with induction motors. Disadvantages of Synchronous motor (i) It cannot be started under load. (ii) It requires dc excitation which must be supplied from external source. (iii) It has a tendency to hunt. (iv) It cannot be used for variable speed jobs as there is no possibility of speed adjustment. 28. List any two methods of starting of a synchronous motor. (i) A dc motor coupled to the synchronous motor shaft. (i) Using the damper windings and a squirrel cage induction motor. (iii) Using the field excited generator as a dc motor. 29. What are the applications of synchronous motor? (i) It is used in power house and in major substations to improve the power factor. (ii) Used in textile mills, rubber mills, mining and other big industries for power factor improvement purpose and to maintain the facility of system voltage. (iii) It is used to drive continuously operating and constant speed equipments like fans, blowers, centrifugal pumps, air comparators, etc. 30. What are the main parts of a synchronous motor? (i) The main parts of a synchronous motor are (a) Stator (b) Rotor (ii) The stator carries the armature winding and the rotor carries the field poles. 31. What are the advantages of three-phase induction motor? (i) Simple construction (ii) High reliability (iii) Rugged construction (iv) Low cost (v) High efficiency (vi) Less maintenance (vii) Self-starting torque (viii) Good power factor (ix) Can be operated in explosive and dirty environments. 32. What are the disadvantages of three phase induction motor? (i) The speed is not constant with load. (ii) Reduction in efficiency when speed is varied. (iii) Low starting torque compared to dc shunt motor. 33. What are the two types of rotors of an induction motor? (i) Squirrel cage rotor (ii) Slip-ring or wound rotor 34. Why the transformer rating is in kVA? The copper loss depends on current and iron loss depends upon voltage. Hence the total loss in a transformer depends upon volt-ampere (VA) only and not on the phase angle between voltage and current i.e., it is independent of load power factor. That is why the rating of a transformer is given in kVA and not in kW. 35. What are the characteristics of an ideal transformer? (i) No winding resistance i.e., purely inductive. (ii) No magnetic leakage flux. (iii) No copper loss and core loss. (iv) 100% efficiency 36. Compare Synchronous and Induction Motor.








Basic Electrical and Electronics Engineering: Unit II: Electrical Machines : Tag: : Electrical Machines | Basic Electrical and Electronics Engineering - 2 Marks Question and Answers
Basic Electrical and Electronics Engineering
BE3251 2nd semester Mechanical Dept | 2021 Regulation | 2nd Semester Mechanical Dept 2021 Regulation
Basic Electrical and Electronics Engineering
BE3251 2nd Semester CSE Dept 2021 | Regulation | 2nd Semester CSE Dept 2021 Regulation