When light passes from denser medium to rarer medium, then the refracted ray bends away from the normal.
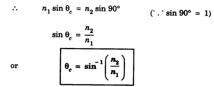
TOTAL INTERNAL REFLECTION (i) When light passes from denser medium to rarer medium, then the refracted ray bends away from the normal. (ii) Consider a ray AB incident at ∠i1, and refracted at ∠r1, as angle of incidence increases, angle of refraction also increases. (iii) For a particular value of angle of incidence ∠i2, the refracted ray travels along the surface of separation between the two medium i.e. ∠r becomes 90°, then the angle of incidence is called as critical angle θc. (iv) For the angle of incidence greater than critical angle (∠i3 > θc), the ray cannot pass into second medium but completely gets reflected in the same medium. (Fig 4.4) (v) Thus, a ray travelling from denser medium to a rarer medium is reflected into denser medium if angle of incidence is more than the critical angle of medium. Definition The angle of incident at which the refracted ray just graze surface between denser and rarer media is called critical angle. When light travels from denser to rarer medium, from Snells law. n1 sin i = n2 sin r n1 – refractive index of denser medium n2 – refractive index of rarer medium i - angle of incident and r-angle refraction i = θc when r = 90° When a ray of light within a denser medium (e.g. water) approaches the surface at an angle of incidence greater than the critical angle, the ray of light is reflected back into the same medium (ie. water). This phenomenon is known as total internal reflection. (Fig 4.5) (a) The light should incident from denser medium to rarer medium. (b) The angle of incidence i in denser medium should be greater than critical angle θc. There are a large number of practical applications of the phenomenon of total internal reflection. However, only two applications are briefed below by way of illustration. (i) Mirage. During the day time in the desert, it is seen that sand at some distance from the observer looks like a pond of water. This illusion is called mirage and it is caused due to total internal reflection of light. (Fig 4.6) (ii) Optical fibre. An optical fibre is a transparent fibre used to conduct light through the phenomenon of total internal reflection. Fig. 4.7 shows a typical optical fibre cable. It consists of fibre glass core surrounded by fibre glass cladding. The cable is so designed such that the refractive index of core is more than that of the cladding. The core performs the function of transmitting the light waves by total internal reflection while the purpose of cladding is to minimise surface losses and to guide the light waves. Fig. 4.8 shows how optical fibre cable works. The ray of light entering one end of the cable undergoes a series of total internal reflections. The light emerging from the other end of the optical fibre cable has no loss of intensity during its journey. Optical fibres are being used in a variety of medical and engineering applications.
Critical angle

Definition

Necessary conditions for total internal reflection
Applications of total internal reflection



Engineering Physics: Unit III: b. Optics : Tag: : Definition, Equation, Applications - Total Internal Reflection
Engineering Physics
PH3151 1st semester | 2021 Regulation | 1st Semester Common to all Dept 2021 Regulation