SOLVED PROBLEMS of Optics: Engineering Physics: Optics
ANNA UNIVERSITY SOLVED PROBLEMS
Problem 4.1
Light of wavelength 6000 Å falls normally on a thin wedge shaped film of refractive index u = 1.4 forming fringes that are 2 mm apart. Find the angle of the wedge?
Given data:
Wavelength of light
λ = 6000 Å = 6000 × 10-10 metre
Fringe width, β= 2mm = 2 × 10-3 metre
Refractive index of the film μ = 1.4
Solution
We know the formula for fringe width in wedge shaped film

Substituting the given values, we have

Problem 4.2
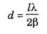
In an airwedge experiment, the distance between successive fringes is 1.09 × 10-4 m. Calculate the thickness of the object kept between the two optically plane glass plates forming the airwedge, if the length of the wedge is 3.7 × 10-2 m and the wavelength of the monochromatic light illuminating the wedge is 5.983 × 10-7 metre.
Given data: β = 1.09 × 10-4 m; l = 3.7 × 10-2 m
λ = 5.893 × 10-7 m; d = ?
Solution
We know that thickness of the object

Substituting the given values, we have

Thickness of the object d = 10-4 m
An interferometer is an instrument for measuring small changes in length. It is based on the principle of interference.
The study of interferometer is called interferometry.
Michelson originally designed an interferometer which is used to find the wavelength of monochromatic light source and thickness of thin strips.
Problem 4.4
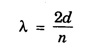
By moving one of the mirrors in a Michelson interferometer through a distance of 0.1474 mm, 500 fringes cross the centre of the field of view. What is the wavelength of light?
Given data:
Number of fringes that cross the centre of the field of view, n = 500
Distance moved by mirror M1,
d = 0.1474 mm = 0.1474 × 10-3 m
Solution:

Substituting the given values, we have

Problem 4.5
In a Michelson interferometer if one of the mirrors is moved by 0.04 mm, 125 fringes cross the field of view. Calculate the wavelength of light used.
Given data
Distance moved by mirror M1,
d = 0.04 mm = 0.04 × 10-3m
Number of fringes that crossed the field of view,
n = 125
Solution:

Substituting the values, we have

Problem 4.6
In a Michelson interferometer, 200 circular fringes crossed the field of view when the movable mirror is displaced through a distance 0.0589 mm. Calculate the wavelength of monochromatic source used.
Given data:
Number of fringes that crossed the field of view,
n = 200
Distance moved by the movable mirror,
d = 0.0589 mm = 0.0589 ×10-3 metre
Solution:
Wavelength of the monochromatic source,

Substituting the given values,

Problem 4.7
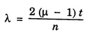
When a thin film of glass of refractive index 1.5 is interposed in the path of one of the interfering beams of the Michelson interferometer, a shift of 30 fringes of sodium light is observed to cross the field of view. If the thickness of the air film is 0.018 mm, calculate the wavelength of the light used.
Given Data:
Refractive index of the thin film, μ = 1.5
Number of fringes crossed the centre of the field of view, n = 30
Thickness of the film,
t = 0.018 mm = 0.018 × 10-3 m
Solution:
From the relation 2 (μ – 1)t = nλ, we have

Substituting the given values, we have

Engineering Physics: Unit III: b. Optics : Tag: : Engineering Physics - Solved Problems of Optics
Engineering Physics
PH3151 1st semester | 2021 Regulation | 1st Semester Common to all Dept 2021 Regulation