Solved Examples Based on Venturimeter: Fluid Properties and Flow Characteristics - Fluid Mechanics and Machinery
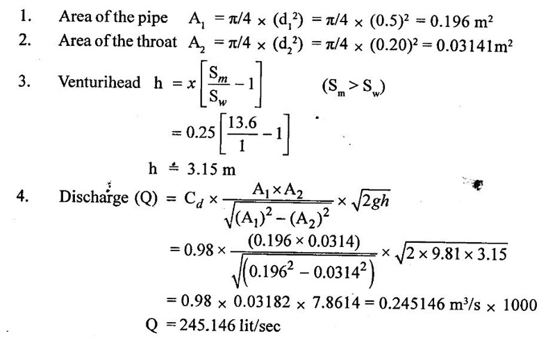
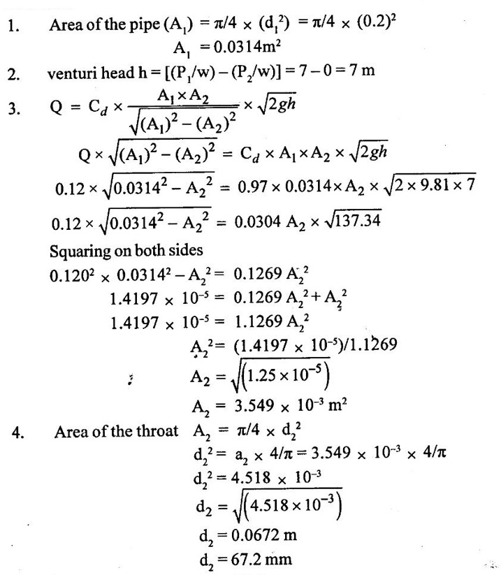
SOLVED EXAMPLES BASED ON VENTURIMETER Example - 71 A horizontal venturimeter with inlet and throat diameters are 40cm and 36cm respectively is used to measure the flow of water. The reading of differential manometer connected to the inlet and the throat is 28 cm of mercury. Determine the rate of flow. Take Cd = 0.98. Given data: Diameter at inlet (d1) = 40cm = 0.4m Diameter at throat (d2) = 36cm = 0.36m Reading of differential manometer (x) = 28cm = 0.28m of mercury Coefficient of discharge (Cd) = 0.98 To find: The rate of flow (Q) Solution: Result : The rate of flow (Q) = 1.404 m3/s. Example - 72 An oil of specific gravity 0.9 is flowing through a venturimeter having diameter 30 cm and throat diameter 20cm. The oil mercury differential manometer shows a reading of 30cm. Calculate the discharge of the oil through the horizontal venturimeter. Take C4 = 0.98. Given data: Diameter at inlet, (d1) = 30cm = 0.3m Diameter at throat, (d2) = 20cm = 0.2m Specific gravity of oil (S) = 0.9 Coefficient of discharge (Cd) = 0.98 Reading of differential manometer (x) = 30 cm = 0.3m of mercury To find: The rate of flow Solution: Result : The rate of flow (Q) = 0.313 m3/s. Example - 73 A horizontal venturimeter with inlet diameter 28 cm and throat diameter 17 cm is used to measure the flow of the oil of specific gravity 0.8. The discharge of oil through venturimeter is 4200 lit/min. Find the reading of the oil mercury differential manometer. Take C4 = 0.84. Given data: Diameter of the inlet (d1) = 28 cm = 0.28 m Diameter of the throat (d2) = 17 cm = 0.17 m Coefficient of discharge (Cd) = 0.84 Discharge (Q) = 4200 lit/min = 4.2m3/min = 0.07m3/s Specific Gravity of oil (S) = 0.8 To find: Reading of oil-mercury differential manometer Solution: Result : Reading of oil-mercury differential manometer x = 0.0374 m Example - 74 A horizontal venturimeter with inlet diameter 26 cm and throat diameter 19 cm is used to measure the flow of water. The pressure at inlet is 19.64 N/cm2 and the vaccum pressure at the throat is 34 cm of mercury. Find the discharge of water through venturimeter. Take Cd = 0.98. Given data: Diameter of the inlet (d1) = 26cm = 0.26m Diameter of the throat (d2) = 19cm = 0.19m Coefficient of discharge (Cd) = 0.98 Pressure (P1) = 19.64N/cm2 = 19.64 × 104 N/m2 Vaccum pressure (P2/w) = -34cm = -0.34m of mercury To find: Discharge of the water (Q) Solution: Result: Discharge (Q) = 0.662 m3/s. Example - 75 The inlet and throat diameter of a horizontal venturimeter are 35cm and 16cm respectively. The liquid flowing through the meter is water. The pressure intensity at inlet is 15.98N/cm2 while the pressure head at throat is 42cm of mercury. Find the rate of flow. Assume that 5% of the differential head is lost between the inlet and throat. Find also the value of Cd for the venturimeter. Given data: Diameter of the inlet (d1) = 35cm = 0.35m Diameter of the throat(d2) = 16cm = 0.16m Pressure (P1) = 15.98N/cm2 = 15.98 × 104N/m2 Vaccum pressure (P2/w) = -42cm = -0.42m of mercury To find: (i) Co-efficient of discharge (Cd) (ii) The rate of flow (Q) Solution: Result : (i) Co-efficient of discharge (Cd) = 0.97 (ii) Discharge (Q) = 0.414 m3/s Example - 76 Calculate the flow of water in l/s through 50cm × 20cm venturimeter when the differential gauge connected to the mouth and throat is 25 cm of mercury Assume the coefficient of the meter as 0.98. Given data: Diameter throat (d2) = 20cm = 0.2m Coefficient of water (Cd) = 0.988 Diameter of the pipe or mouth (d1) = 50cm = 0.5m Manometer difference in reading (x) = 25cm of mercury = 0.25m of hg To find: Flow of water (Q) in lit/s Solution: Result: Flow of water (Q) = 245.146 lit/sec Example - 77 A venturimeter is to be fitted to a 200mm diameter pipe in which the maximum flow is 120lps and the pressure head 7m of water. What is the minimum diameter of the throat that there is no negative head in it? The coefficient of meter is 0.97. Given data: Pressure head (P1/w) = 7m Diameter of the pipe (d1) = 200mm = 0.2m Co-efficient of discharge (Cd) = 0.97 Rate of flow (Q) = 120lps = 0.120m3/s When there is no negative head means, the pressure head of the point must be equal to zero (i.e) Pressure head at throat is zero (P2/w = 0). To find: Diameter of the throat (d2) Solution: Result : Throat diameter (d2) = 67.2 mm






Fluid Mechanics and Machinery: Unit 1: Fluid Properties and Flow Characteristics : Tag: : Fluid Mechanics - Solved Examples Based on Venturimeter
Fluid Mechanics and Machinery
CE3391 3rd semester Mechanical Dept | 2021 Regulation | 3rd Semester Mechanical Dept 2021 Regulation