Solved Examples Based on Pitot Tube: Fluid Properties and Flow Characteristics - Fluid Mechanics and Machinery
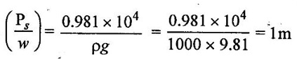
SOLVED EXAMPLES BASED ON PITOT TUBE Example - 84 A pitot static tube placed in the centre of a 300mm pipe line has one orifice pointing upstream and other perpendicular to it. The mean velocity in the pipe is 0.80 of the central velocity. Find the discharge through the pipe if the pressure difference between the two orifices is 60mm of water. Take the coefficient of pitot tube as Cv = 0.98. Given data: Diameter of pipe (d) = 300mm = 0.30m Mean velocity (V) = 0.8 × central velocity Difference of pressure head (h) = 60mm of water = 0.06m of water Cv = 0.98 To find: Discharge through the pipe (Q) Solution: Result : Discharge through the pipe is Q = 0.06m3/s Example - 85 A pitot tube is inserted in a pipe of 300mm diameter. The static pressure in pipe is 100mm of mercury. The stagnation pressure at the center of the pipe, recorded by the piton tube is 0.981 N/cm2. Calculate the rate of flow of water through pipe if the mean velocity of flow is 0.85 times the central velocity. Take Cv = 0.98. Given data: Diameter of pipe, d = 0.3m Stagnation pressure = 0.981 N/cm2 = 0.981 × 104 N/m2 To find: Rate of flow of water through pipe (Q) Solution: 1. Stagnation pressure head 2. Pressure head (h) = Stagnation pressure head - static pressure head = 1.0 - (-1.36) = 2.36 of water 3. Velocity at center 4. Mean velocity V = 0.85 × 6.668 = 5.6678 m/s 5. Rate of flow of water = V × area of pipe Q = 5.6678 × 0.07068 = 0.40 m3/s Result : Rate of flow of water through pipe is 0.40m3/s



Fluid Mechanics and Machinery: Unit 1: Fluid Properties and Flow Characteristics : Tag: : Fluid Mechanics - Solved Examples Based on Pitot Tube
Fluid Mechanics and Machinery
CE3391 3rd semester Mechanical Dept | 2021 Regulation | 3rd Semester Mechanical Dept 2021 Regulation