Solved Examples based on francis turbine: Turbines - Fluid Mechanics and Machinery
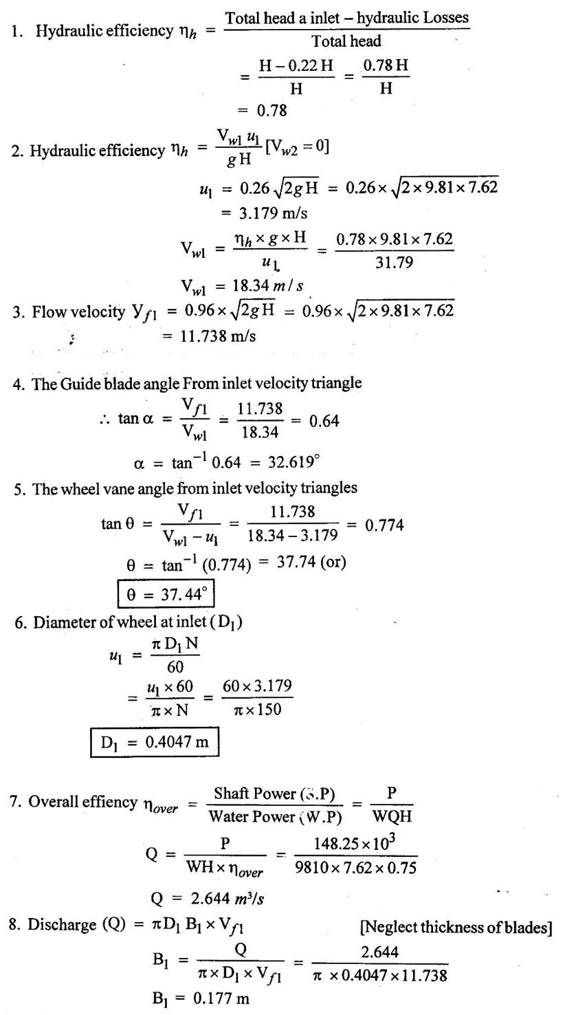
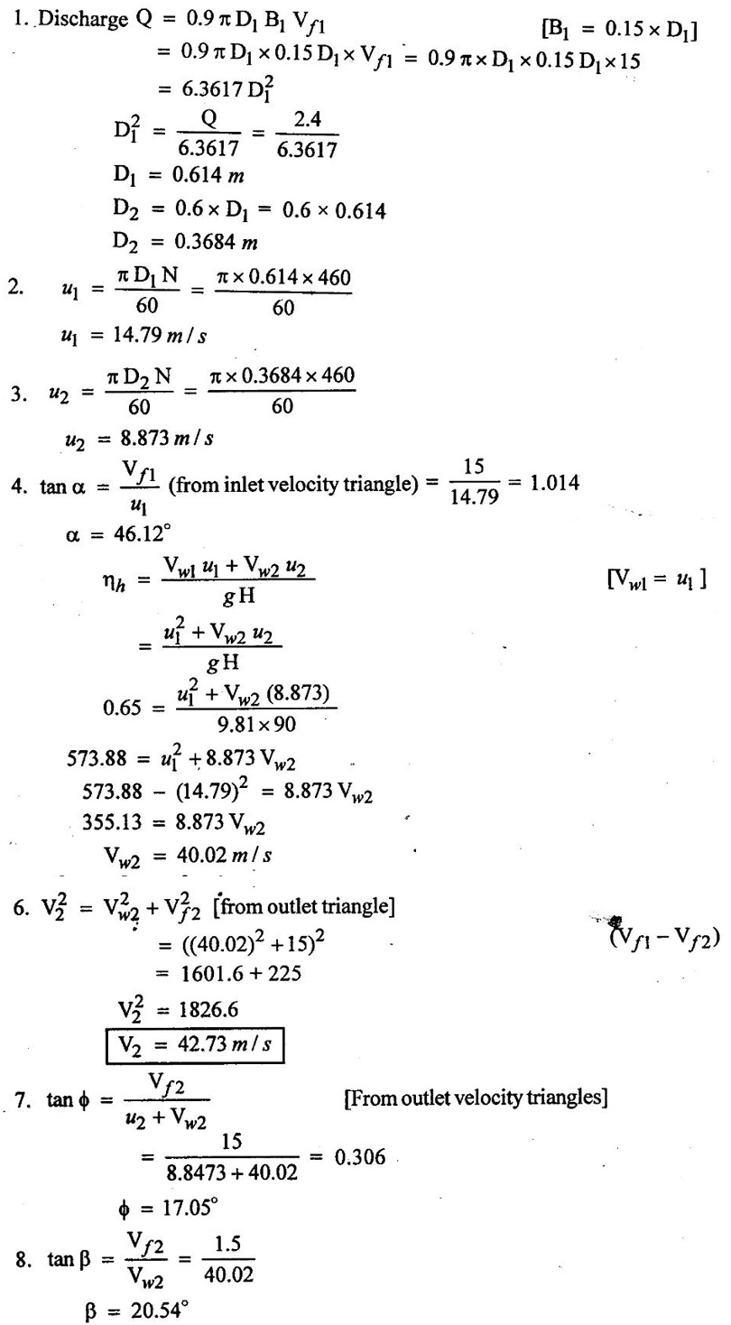
SOLVED EXAMPLES BASED ON FRANCIS TURBINE Example - 33 A Francis turbine with an overall efficiency of 75% is required to produce 148.25 kw power. It is working under a head of 7.62 m. The peripheral velocity = 0.26√2g H and th e radial velocity of flow at inlet is. 0.96 √2gH. The wheel runs of 150 rpm. and the hydraulic losses in the turbine are 22% of the available energy. Assuming radial discharge, determine (i) Guide blade angle (ii) The wheel vane angle of inlet (iii) Diameter of the wheel at inlet (iv) width of the wheel at inlet. Given Data: To find: (i) Guide blade angle at inlet (α) (ii) Wheel vane angle at inlet (θ) (iii) Diameter of wheel at inlet (D) (iv) Width of wheel at inlet (B1) Solution: Result: 1. Guide blade angle α = 32.619° 2. Wheel vane angle at inlet θ = 37°44' 3. Diameter of wheel (D1) = 0.4047 m 4. Width of the wheel (B1) = 0.177m Example - 34 The following data is given for Francis turbine Net head H = 80m, speed N = 800 rpm, shaft power = 300 kw, η0 = 86% ηh = 90% flow ratio = 0.20, breath ratio n = 0.1 outer diameter of the runner = 2 × inner diameter of runner. The thickness occupy 5% of circum ferential area of the runner, velocity of flow is constant of inlet and outlet and discharge is radial of outlet Determine. (i) Guide blade angle (ii) Runner vane angle of inlet and outlet (iii) Diameter of runner of inlet and outlet (iv) Width of the wheel of inlet Given Data: To find: (i) Guide blade angle (α) (ii) Runner vane angle of inlet and outlet (θ & ϕ) (iii) Diameters of runner at inlet and outlet (D1 & D2) (iv) width of wheel at inlet (B1) Solution: 7. Guide blade angle (a) from inlet triangles 8. Runner vane angle inlet and outlet (θ and ϕ) Result: (i) Guide blade angle (α) = 11.47° (ii) Runner vave angle θ = 20.85° ϕ = 41.088° Diameter of runner D1 = 0.433 m D2 = 0.2167 m Width of the wheel B1 = 0.0433 m Example - 35 A Francis turbine developing 16120 kw under a head of 260 m runs of 600 rpm. The runner outside diameter is 1500 mm and the width is 135 mm. The rate is 7m3/s. The exit velocity of the draft tube is 16 m/s. Assuming zero whrill velocity at exit and neglect blade thickness. Determine the overall and hydraulic efficiency and rotor blade angle at inlet. Also find the guide vane outlet angle. Given data: Shaft power (S.P) = 16120 kw = 16120 × 103 w Head (H) = 260m Speed (N) = 600 rpm Outside diameter (D1) = 1500 mm = 1.5m Width (B1) = 135 mm = 0.135m Discharge (Q1) = 7m3 / s Outlet velocity (V2) = 16 m/s Vw2 = 0, β = 90°, V2 = Vƒ2 To find: (i) η0 (ii) ηh (iii) Rotor blode angle inlet (α & θ) (iv) Guide vane angle at outlet (β) Solution: 5. From velocity triangles (a) Inlet Result: (i) Overall efficiency ηover = 90.29% (ii) Hydraulic efficiency ηh = 94.48% (iii) Rotor blade angle θ = 68.69°, α = 12.08° (iv) Guide vane angle outlet β = 90° Example - 36 A vertical shaft francis turbine runs of 400 rpm. While the discharge is 15 m3/s. The velocity and pressure head at entrance of the runner are 11 m/s and 220m respectively. The elevation above the tail race is 5.5m. The diameter of the runner is 2m and width at inlet is 250mm. The overall and hydraulic efficacies are 93% and 97% respectively. Calculate (i) Total head across the turbine (ii) Power output (iii) The guide vane angle (iv) Vane angle of the inlet Given data: To find: (i) Total head across the turbine (H) (ii) Power output (P) (iii) The guide vane angle (d) (iv) Vane angle of inlet (θ) Solution: Result: (i) Total head (H) = 231.66 m (ii) Power output P = 31.70 × 103 kw (iii) The guide vane angle α = 40.95° (iv) Vane angle at inlet θ = 41.06° Example - 37 A Francis turbine has an inlet diameter of 3m and outlet diameter of 1.8m. The breath of the blade is constant of 0.3m. The runner rotate at a speed of 300 rpm with a discharge of 9m3/s. The vanes are radial at the outlet calculate the angle of guide vanes at the inlet and blade angle at the outlet. Given data: Inlet diameter D1 = 3m Outlet diameter D2 = 1.8m Breath B1 = B2 = 0.3m Discharge (Q) = 9m3/s Speed (N) = 300 rpm To find: 1. Guide vane angle (α) 2. Blade angle of the outlet (ϕ) Solution: 1. Discharge Q = Area of flow × Velocity of flow 6. Q1 = Q2 (Apply continuity eqn) π D1 В1 Vƒ1 = π D2 В2 Vƒ2 Result: 1. Guide vane angle (α) = 63.5°m 2. Blade angle (ϕ) = 10.59° Example - 38 A Francis turbine has H=30m, D1 = 1.2m at inlet and D2 = 0.6m of outlet. Guide blade angle is 15o, vane angle of inlet 90° water leaves the vanes without any tangential velocity and velocity of flow is constant. Assume no fictional losses, angle to exit. Calculate the speed of the wheel and vane angle at exit. Given data: Head (H) = 30m Inlet dia (D1) = 1.2m Outlet dia (D2) = 0.6m Guide blade angle α = 15° Vane angle at inlet θ = 90° Vf1 = Vƒ2 Without any Tangential velocity of vane of exit Mean Vω2 = 0 β = 90° To find: 1. Speed of the wheel (N) 2. Vane angle at exit (ϕ) Solution: 2. No losses of runner Result: 1. Speed of the wheel (N) = 268.33 rpm 2. Vane angle of exit (ϕ) = 28.10° Example - 39 A Francis turbine receives 2.4 cumecs of water under a head of 90m, the constant velocity of flow through the runner is 15 m/s width of runner at inlet is 0.15 times inlet diameter and outlet diameter is 0.6 time inlet diameter. The runner blade angle at inlet is 90o. The speed of rotation is 460 rpm, 10% of lealeage to flow due to blade thickness. Find inlet angle of guide vane and blade angle at outlet and wheel diameter. If hydraulic efficiency is 65% find also absolute velocity of water at exit. Given data: To find: (i) Guide vane angle at inlet (α) (ii) Runner blade angle at outlet (ϕ) (iii) Wheel diameter D1 and D2 (iv) Absolute velocity of exit (V2) Solution: Result: 1. Guide vane angle of inlet (α) = 46.12° 2. Runner blade angle at outlet (ϕ) = 17.25° 3. Diameter of wheel D1 = 0.6143m, D2 = 0.3684m 4. Absolute velocity of exit V2 = 42.73 m/s Example - 40 For the Francis turbine following data is available shaft power = 140 kw, Net head = = 100 m, speed = 130 rpm, overall efficiency overall efficiency = 75%, Hydraulic efficiency 90%, velocity of flow at inlet = 1.18√H, vane speed at inlet = 3.45√H Assume discharge radial at exit find. (i) Guide blade and moving blade angle at inlet. (ii) Diameter of runner at inlet Given data: Power (P) = 140 kw = 140 × 103 w Head (H) = 100 m Speed (N) = 130 rpm Overall efficiency η0 = 75% = 0.75 Hydraulic efficiency ηh = 90% = 0.90 Velocity of flow at inlet = 1.18 √H Vane speed at inlet (u1) = 3.45√H Discharge radial exit Vw2 = 0, β = 90° To find: (i) Guide blade and moving blade at inlet (α & θ) (ii) Diameter of runner at inlet (D1) Solution: 5. From inlet velocity triangle u1 > Vwl modified inlet triangle Result: 1. Guide vane angle α = 24.75° 2. Runner vane angle θ = 127.06° 3. Diameter of inlet B1 = 5.068m


















Fluid Mechanics and Machinery: Unit 4: Turbines : Tag: : - Solved Examples based on francis turbine
Fluid Mechanics and Machinery
CE3391 3rd semester Mechanical Dept | 2021 Regulation | 3rd Semester Mechanical Dept 2021 Regulation