Forces in two dimensions can be resolved into two mutually perpendicular components.
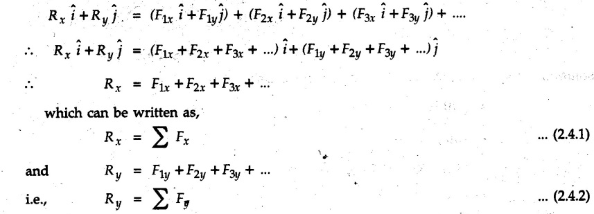
Resolution and Composition of Forces: Rectangular Components • Forces in two dimensions can be resolved into two mutually perpendicular components. • When a single force is replaced by two forces (the components), the two forces together produce the same effect as that produced by the single force. Hence, the force must be the resultant of its components. • By superposition principle, Expressing each force in terms of its x and y components and writing the vectors in terms of unit vector î.and ĵ along X and Y directions respectively, • Magnitude of resultant is obtained using and the direction by, • The quadrant of resultant is defined by the sign of Rx and Ry. The sign convention for forces is, Note: If resultant of all forces is horizontal then its y-component (Ry) is zero. Similarly, if resultant of all forces is vertical then Its x-component (Rx) is zero. Example 2.4.1 Find x and y components of the 6 forces shown in Fig. 2.4.1. Also write the forces in terms of unit vector î and ĵ along x and y directions respectively. Solution: Example 2 4.2 Find x and y components of the forces shown in Fig. 2.4.2. Solution: When slopes are given for the forces, their angles with horizontal can be obtained using Example 2.4.3 Find the x and y components of a 1000 N force acting from the point (-3, 5) of a 1000 N force acti towards the point (6. – 3). Solution: The angle of the force with horizontal can be calculated by plotting it as shown in Fig. 2.4.3. Example 2.4.4 Find the magnitude and direction of forces having x and y components as shown in Fig. 2.4.4 (a) to (d). Solution: For Fig. 2.4.4 (a), Example 2.4.5 Find components Fa and Fb of the 100 N force along the directions shown in Fig. 2.4.5 using rectangular components. Solution: • As 100 N force is being resolved into components Fa and Fb the 100 N force will be a resultant of Fa and Fb. • For rectangular components, X and Y directions are required which can be chosen according to convenience. • Let X-axis be along the 100 N force and Y-axis perpendicular to it as shown in Fig. 2.4.5 (a). Example 2.4.6 Determine the resultant of the five forces shown in Fig. 2.4.6. Solution : Resolving forces in X and Y directions, Example 2.4.7 If the resultant of the two forces shown in Fig. 2.4.7 is 700 N directed vertically upwards, find the angles a and B using rectangular components. Solution: Choosing X-axis horizontal and Y-axis vertical. As resultant is vertical, its x component is 0 and y component is 700 N. 25 = 16+ 49 - 56 cos β 56 cos β = 40Resolution :


Composition:


Sing convention:

Solved Examples for Understanding
















Engineering Mechanics: Unit I: Statics of Particles : Tag: : - Resolution and Composition of Forces: Rectangular Components
Engineering Mechanics
ME3351 3rd semester civil, Mechanical Dept | 2021 Regulation | 3rd Semester Mechanical Dept 2021 Regulation