The source which supplies the active power to the network is known as the electrical source.
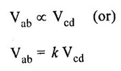
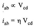
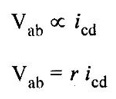
INDEPENDENT DEPENDENT VOLTAGE AND CURRENT SOURCE The source which supplies the active power to the network is known as the electrical source. The electrical source is of two types namely independent source and dependent source. The Independent and Dependent source means, whether the voltage or current sources are either depending upon some other source, or they are acting independently. Independent sources are that which does not depend on any other quantity in the circuit. They are two-terminal devices and has a constant value, i.e. the voltage across the two terminals remains constant irrespective of all circuit conditions. The strength of voltage or current is not changed by any variation in the connected network the source is said to be either independent voltage or independent current source. In this, the value of voltage or current is fixed and is not adjustable. The sources whose output voltage or current is not fixed but depends on the voltage or current in another part of the circuit is called Dependent or Controlled source. They are four-terminal devices. When the strength of voltage or current changes in the source for any change in the connected network, they are called dependent sources. The dependent sources are represented by a diamond shape. The dependent sources are further categorised as: In voltage-controlled voltage source, the voltage source is dependent on any element of the circuit. In the above figure, the voltage across the source terminal Vab is dependent on the voltage across the terminal Vcd, In the voltage controlled current source, the current of the source iab depends on the voltage across the terminal cd (Vcd) as shown in the figure 1.9 Thus, Where η is a constant known as transconductance and its unit is mho. In the current controlled voltage source voltage source of the network depends upon the current of the network as shown in the figure 1.10 Here the voltage of source Vab depends on the current of the branch cd Where r is a constant. In the Current Controlled Current Source, the current source is dependent on the current of the branch another branch as shown in the figure 1.11 So, Where β is a constant. Practical voltage source: A real or practical source supplies its rated voltage when its terminals are not connected to a load (open-circuited) but its voltage drops off as the current it supplies increases. We can model a practical voltage source using an ideal source Vs in series with an internal resistance Rs as shown in figure 1.12 Practical current source : A practical current source supplies its rated current when its terminals are short-circuited but its current drops off as the load resistance increases. We can model a practical current source using an ideal current source in parallel with an internal resistance Rs as shown in figure 1.13. 1. Source Transformation A given voltage source with a series resistance can be converted into an equivalent current source with parallel resistance. Conversely, a current source with a parallel resistance can be converted into a voltage source with a series resistance. Problem 1.1 Convert given voltage source into current source. Problem 1.2. Convert given current source to voltage source.1. Independent Voltage and Current Source
2. Dependent Voltage and Current Source
1. Voltage Controlled Voltage Source (VCVS)


2. Voltage Controlled Current Source (VCCS)


3. Current Controlled Voltage Source (CCVS)


4. Current Controlled Current Source (CCCS)


3. Types of Sources






Basic Electrical and Electronics Engineering: Unit I: Electrical Circuits : Tag: : - Independent, Dependent Voltage and Current Source
Basic Electrical and Electronics Engineering
BE3251 2nd semester Mechanical Dept | 2021 Regulation | 2nd Semester Mechanical Dept 2021 Regulation
Basic Electrical and Electronics Engineering
BE3251 2nd Semester CSE Dept 2021 | Regulation | 2nd Semester CSE Dept 2021 Regulation