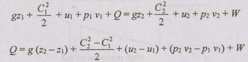
For steady flow process, for unit mass of gas flowing in and out of system can be written as follows:
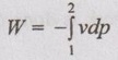
EXPRESSING THE SHAFT WORK PER kg AS Ws = - ∫ VdP FOR A STEADY FLOW SYSTEM WITH NEGLIGIBLE CHANGE IN KINETIC AND POTENTIAL ENERGY For steady flow process, for unit mass of gas flowing in and out of system can be written as follows: Total energy entering the system = Total energy leaving the system Q = ΔPE + ΔKE + ΔU + Δ (pv) + W The above equation in differential form can be written as dQ = d(PE) + d(KE) + du + d(pv) + dW Substituting the value of dQ = du + p.dv in the above equation, du + p.dv = d(PE) + d(KE) + du + pdv + vdp+dW d(PE) + d(KE) + dW = - vdp Neglecting change in kinetic and potential energy in the above equation, dw=-vdp

Engineering Thermodynamics: Unit I: Basics, Zeroth and First Law : Tag: : - expressing the shaft work per kg as ws = - ∫ vdp for a steady flow system with negligible change in kinetic and potential energy
Engineering Thermodynamics
ME3391 3rd semester Mechanical Dept | 2021 Regulation | 3rd Semester Mechanical Dept 2021 Regulation