A string is a cord whose length is very long compared to its diameter and which is uniform and flexible.
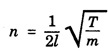
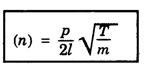
WAVES ON STRING A string is a cord whose length is very long compared to its diameter and which is uniform and flexible. The transverse vibration of strings, is the principle to the working of many stringed instruments like sitar, guitar and violin etc. When strings are plucked they are set into transverse vibration and under suitable conditions they produce musical note. "If the string vibrates with nodes at the fixed ends and an antinode at the centre, then it is said to vibrate in fundamental mode. The frequency corresponding to this mode of vibration is known as frequency of fundamental mode". Consider a string stretched between two supports. When the string is plucked in the middle, transverse progressive waves are produced. These waves travel towards each end of the wire. The speed of the waves is given by, where T is tension in the string and m is mass per unit length (linear density) of string. These waves are reflected at both ends of the string. Then, the incident waves and reflected waves transverse stationary waves. (Fig. 3.13) In the stationary pattern, nodes are formed at fixed ends and an antinode in the middle. The distance between two consecutive nodes is equal to If l be the length between fixed ends of string, then If n be the frequency of vibration of string, then Substituting for v from equation (1) where, T - tension in the string m - mass per unit length of string l - length of string In general, fundament frequency, where p is number of loops and it takes values as p = 1, 2, 3, ... The frequency of vibration of the fundamental note of a stretched string is given by, where T is the tension and m is mass per unit length of string. (i) Law of length The fundamental frequency of vibration of a stretched string is inversely proportional to the length, when the tension and the mass per unit length of the string remain constant. (ii) Law of tension The frequency of vibration of a stretched string is directly proportional to the square root of tension when the length and the mass per unit length of the string remain constant. (iii) Law of mass The fundamental frequency of vibration of a stretched string is inversely proportional to the square root of the mass per unit length when the tension and the length of the string remain constant. • An important type of motion that occurs in nature is wave motion. • A wave motion is à disturbance of some kind which moves from one place to another by means of a medium, such that the medium itself is not transported. The disturbance transmits both energy and momentum to distant regions with a velocity that depends upon characteristics of the medium. There are two types of wave motion They are 1. Longitudinal wave motion 2. Transverse wave motion Wave motion in which the particles of the medium vibrate about their mean position along the same line as propagation of wave is called longitudinal wave motion. Example: sound waves. In longitudinal wave motion region of more particles (compression) and region of less number of particle (rarefaction) are produced Wave motion in which particles of the medium vibrate about their mean position at right angle to the direction of propagation is called transverse wave motion. Example: waves on the surface of water. A progressive wave is defined as the vibratory motion of a body which is transmitted continuously in the same direction from one particle to successive particle of the medium and travel forward through the medium due to its elastic property.Vibrations of Stretched String


where λ is wavelength.




Laws of Transverse vibrations of stretched strings




Wave Motion
Types of Wave Motion
1. Longitudinal Wave Motion

2. Transverse Wave Motion

Progressive wave
Engineering Physics: Unit III: a. Oscillations : Tag: : - Waves on String
Engineering Physics
PH3151 1st semester | 2021 Regulation | 1st Semester Common to all Dept 2021 Regulation