Consider a compound belt drive, as shown in Fig.8.16. In Fig.8.16, pulley 1 drives the pulley 2; pulleys 2 and 3 are keyed on the same shaft; thereby pulley 3 drives pulley 4.
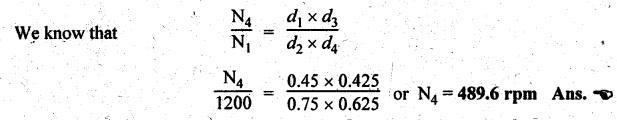
VELOCITY RATIO OF COMPOUND BELT DRIVE Consider a compound belt drive, as shown in Fig.8.16. In Fig.8.16, pulley 1 drives the pulley 2; pulleys 2 and 3 are keyed on the same shaft; thereby pulley 3 drives pulley 4. Let d1 = Diameter of pulley 1, N1 = Speed of pulley 1, d2, d3, d4 = Corresponding diameter of pulleys 2, 3 and 4, and N2, N3, N4 = Corresponding speed of pulleys 2, 3 and 4. We know that velocity ratio of pulleys 1 and 2, Similarly, velocity ratio of pulleys 3 and 4, Multiplying equation (i) and (ii), we get Here N2 = N3, because pulleys 2 and 3 are keyed on the same shaft. If there are six pulleys in compound belt drive, then Thus the general equation for velocity of compound belt drive is given by Example 8.1 A pulley 350 mm in diameter drives another pulley 1400 mm in diameter by means of a belt 25 mm thick. The driver makes 200 revolutions per minute. Find the speed of the driven pulley: (a) Neglecting the thickness of the belt, (b) Taking the thickness into account, and (c) Considering thickness of belt and a slip of 2% between the driving pulley and the belt and 3% between the belt and the driven pulley. Given data: d1 = 350 mm = 0.35 m; d2 = 1400 mm = 1.4 m; t = 25 mm = 0.025 m; N1 = 200 rpm; s1 = 2%; s2 = 3% Solution: Let N2 = Speed of the driven pulley (a) Neglecting the thickness of the belt and there is no slip: (b) Considering the thickness of the belt and there is no slip: We know that velocity ratio considering the thickness of the belt, (c) Considering the thickness and slip of the belt: Total slip, s = s1 + s2 = 2 + 3 = 5% We know that velocity ratio considering the thickness and total slip, Example 8.2 An engine, running at 1200 rpm drives a line shaft by means of a belt. The engine pulley is 450 mm diameter and the pulley on the line shaft being 750 mm. A 425 mm diameter pulley on line shaft drives a 625 mm pulley keyed to the machine shaft. Find the speed of the machine shaft when: (i) there is no slip, and (ii) there is a slip of 2.5% slip on each drive. Given data: N1 = 1200 rpm; d1 = 450 mm = 0.45 m; d2 = 750 mm = 0.75 m; d3 = 425 mm = 0.425 m; d4 = 625 mm = 0.625 m; s1 = s2 = 2.5%. Solution: The arrangement of the given compound belt drive is shown in Fig.8.17. Let N1 = Speed of the machine shaft (i) Speed of machine shaft when there is no slip: (ii) Speed of machine shaft considering slip: Total slip, s = s1 + s2 = 2.5 + 2.5 = 5% We know that velocity ratio considering slip,












Theory of Machines: Unit III: Friction in Machine Elements : Tag: : Friction in Machine Elements - Theory of Machines - velocity ratio of compound belt drive
Theory of Machines
ME3491 4th semester Mechanical Dept | 2021 Regulation | 4th Semester Mechanical Dept 2021 Regulation