Definition: Velocity ratio is the ratio of the velocity of the driven pulley to the velocity of the driver pulley.
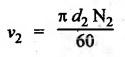
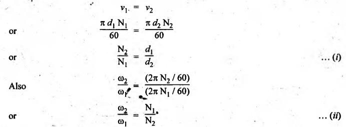
VELOCITY RATIO OF BELT DRIVE Definition: Velocity ratio is the ratio of the velocity of the driven pulley to the velocity of the driver pulley. Derivation: Consider a belt drive as shown in Fig.8.15. Let d1 = Diameter of the driver pulley, d2 = Diameter of the driven pulley, N1 = Speed of the driver pulley in rpm, N2 = Speed of the driven pulley in rpm, ω1 = Angular velocity of the driver pulley in rad/s, and ω2 = Angular velocity of the driven pulley in rad/s. Peripheral velocity of belt passing over the driving pulley, Similarly, Peripheral velocity of belt passing over the driven pulley, When there is no slip between the belt and pulleys, then From equations (i) and (ii), we get • If belt thickness (t) is considered, then for exact analysis the mean diameter of rotation is used for the calculation of the velocity ratio. • The mean diameter of rotation will be equal to the diameter of the driver pulley (or driven pulley) plus the thickness of belt. • The velocity ratio, considering the belt thickness, is given by




Effect of Belt Thickness on Velocity Ratio

Theory of Machines: Unit III: Friction in Machine Elements : Tag: : Friction in Machine Elements - Theory of Machines - velocity ratio of belt drive
Theory of Machines
ME3491 4th semester Mechanical Dept | 2021 Regulation | 4th Semester Mechanical Dept 2021 Regulation