university solved problems on cantilever beam: Transverse Loading on Beams and Stresses in Beam - Strength of Materials
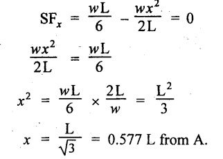
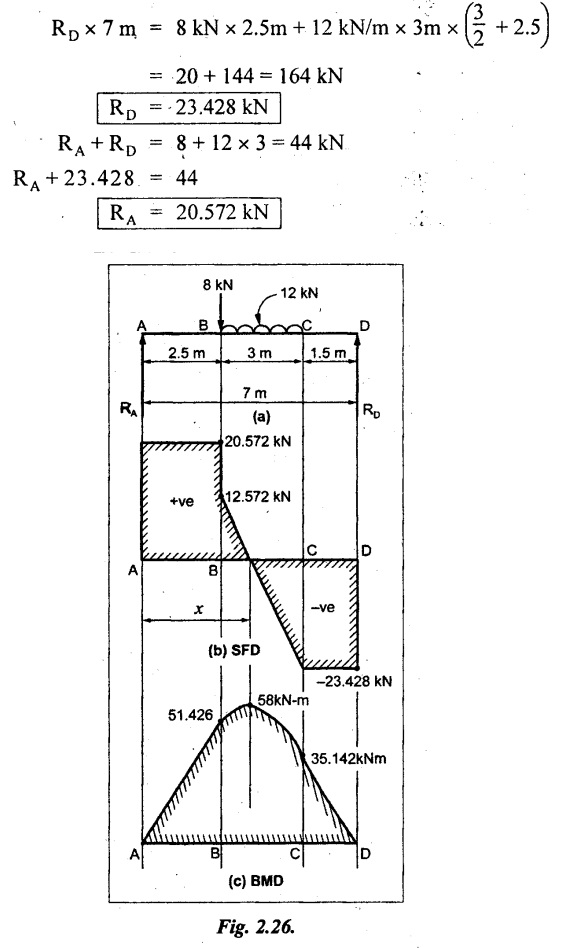
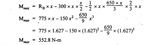
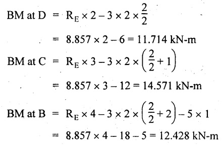
UNIVERSITY SOLVED PROBLEMS ON CANTILEVER BEAM Example 2.11: A cantilever 6m long carries load of 30, 70, 40 and 60 kN at distance of 0, 0.6, 1.5 and 2.4m respectively from the free end. Draw the SF and BM diagrams for the cantilever. Given: As shown in Fig.2.19(a). To draw: SFD and BMD Solution: SF calculation: SF at E = 30 kN SF at D = 30 + 70 = 100 kN SF at C = 100 + 40 = 140 KN SF at B = 140 + 60 = 200 kN SF at A = 200 KN Join all the values by straight horizontal line as shown in Fig.2.19(b). BM calculation: BM at E = 0 BM at D = - 30 × 0.6 = - 18 kN-m BM at C = -30 × 1.5 - 70 × 0.9 = - 108 kN-m BM at B = - 30 × 2.4 - 70 × 1.8 - 40 × 0.9 = - 234 kN-m BM at A = -30 × 6 - 70 × 5.4 -40 × 4.5 - 60 × 3.6 = -954 kN-m Join all the values by straight inclined lines as shown in Fig. 2.19(c). Result: The SFD and BMD are as shown in Fig.2.19(b) & (c) respectively. Case (a): SSB with central point load Consider a beam AB of span 'l' simply supported at ends and carrying a concentrated load W at the center C as shown in Fig.2.20(a). In SSB, the supports that provide 'upward force' to balance the vertical downward load is called reactions. But it do not prevent rotation of the beam. Total reaction at supports (i.e., RA + RB) is equal to the algebraic sum of the loads on the beam. The reaction at the supports A and B are denoted by RA and RB. To calculate the values of RA and RB, taking moments about the support A or B. Consider, any section X-X at a distance of x from B. SF remains constant between B and C and is equal to -W/2. SF remains constant between C and A and is equal to W/2. Join the obtained values by a straight line as shown in Fig.2.20(b), since, the load is point load. BMD The above equation is a first degree equation, it represents a straight line variation. When x = 0, BM at B = 0. When x = l/2, Generally in SSB, the BM values are zero at both supports. Draw the BMD as shown in Fig.2.20(c): Case (b): SSB with UDL Consider a SSB carrying UDL of w/unit length as shown in Fig.2:21(a). To find the reactions RA and RB, take moments about A. SFD Consider a section X-X at a distance of x from the end B. SF is equal to –wl/2 at B and increases gradually by a straight line law, to zero at the mid point of the beam, beyond which it continues to increase uniformly to a value of wl/2 at point A as shown in Fig.2.21(b). BMD From above results note that BM is zero at the supports and increases parabolically towards its center and attains maximum value (wl2 /8) at the center. When the BM is maximum, the SF changes its sign. The BMD is shown in Fig.2.21(c). Case (c): SSB with Uniformly Varying Load Consider a SSB of length L carrying uniformly varying load zero at one end and w per m length at the other end as shown in Fig.2.22(a). Reactions Taking moment about A, We know that, Consider the section X-X at a distance of 'x' m from A. SF calculation: Join the above values by parabolic curve as shown in Fig.2.22(b). BM calculation: The maximum BM will occur where the SF changes its sign which is at a distance of x m from the end B. Therefore equate the SF equation to zero. The BM is maximum at a distance of 0.577L from end A. We know that, Substitute x value in the above equation, Join the BM values by cubic curve, since the general equation is cubic equation as shown in Fig.2.22(c). Example 2.12 : A beam freely supported over an effective span of 5 m carries point loads 3 kN, 4.5 kN and 7 kN at 1, 2.5 and 3.5 m respectively from the left hand support. Construct the SF and BM diagrams. Given: As shown in Fig.2.23(a). To draw: SFD and BMD. Solution: To find the reactions at supports RA and RE, SF calculation: SF at E = -RE = -7.75 kN [-ve sign indicates right side upward force] SF at D = - RE + 7 kN = -7.75 + 7 = -0.75 kN SF at C = -RË + 7 kN +4.5 kN = −7.75 + 7 + 4.5 = 3.75 kN SF at C may be calculated by adding SF at D and load at C. i.e., SF at C = − 0.75 kN + 4.5 = 3.75 kN SF at B = -RE + 7 kN + 4.5 kN + 3 kN = − 7.75 + 7 + 4.5 + 3 = 6.75 kN or SF at B = 3.75 + 3 = 6.75 kN SF at A = 6.75 kN = RA (+ve sign indicates left side upward force) Draw the SFD as shown in Fig.2.23(b). BM calculation: Taking moment about respective cross section to the right side. BM at E = 0 BM at D = + RE × 1.5 m = 7.75 × 1.5 = 11.625 kN-m BM at C = +RE × 2.5 m −7 × 1 = 7.75 × 2.5 – 7 = 12.375 kN-m BM at B = +RE × 4 - 7 × 2.5 – 4.5 × 1.5. = 7.75 × 4 - 17.5 - 6.75 = + 6.75 kN-m BM at A = 0 Maximum BM will occur where the SF is zero or sign changes. In this problem the maximum BM is 12.375 kN-m where the SF is zero. Join the values as shown in Fig.2.23(c). Result: The SFD and BMD are as shown in Fig.2.23(b) & (c) respectively. Example 2.13: A beam of 8 m span simply supported at its end carries loads of 2 kN and 5 kN at a distance of 3 m and 6 m respectively from right support. In addition, the beam carries a UDL of 4 kN/m for its entire length. Draw the SF and BM diagrams. Given: As shown in Fig.2.24(a). To draw: SFD and BMD Solution: Taking moment about A, RD × 8 m = 2 kN × 5 m + 5 kN × 2 m + 4 kN/m × 8m × 8/2 = 10 + 10 + 128 = 148 RD = 148/8 = 18.5 kN RA + RD = 2 kN + 5 kN + 4 kN/m × 8 m RA + RD = 39 kN 18.5 + RA = 39 SF calculation: SF at D = -RD = – 18.5 kN SF at C (without point load 2 kN) = - RD + 4 kN/m × 3 m = -18.5 + 12 = -6.5 kN SF at C (with point load) = -RD + 4 kN/m × 3 m + 2 kN = - 4.5 kN SF at B (without point load 5 kN) = - RD + 4 kN/m × 6m + 2 kN = - 18.5 + 24 + 2 = 7.5 kN SF at B (with point load) = 7.5 kN + 5 kN = 12.5 kN SF at A = +RA = 20.5 kN [⸪ SF at A should be equal to reaction at A i.e., RA] Join the SF values as shown in Fig.2.24(b). BM calculation: BM at D = 0 Maximum BM: The maximum BM will occur where the SF changes its sign. Let x be the distance from A where the SF changes its sign as shown in Fig.2.24(b). SF equation at that point can be written and equating it to zero, RA - 5 kN - 4 kN/m × x m = 0 20.5 – 5 - 4x = 0 x = 3.875 m The BM will be maximum at 3.875m from A or 4.125m from D. Taking moment about the point where the SF is zero, = 40.03 KN-m Result: SFD and BMD are shown in Fig.2.24 (b) and (c) respectively. Example 2.14 : A freely supported beam of 4m effective span carries a load of 10 kN/m over the right hand half of the span and a point load 22 kN at a distance of 1 m from the left support. Construct the SF and BM diagrams. Given: As shown in Fig.2.25(a). To draw: SFD and BMD Solution: Taking moment about A, SF calculation: SF at D = -RD = -20.5 KN SF at C = - RD + 10 × 2 = -20.5 + 20 = -0.5 kN SF at B = -0.5 + 22 kN = 21.5 kN SF at A = 21.5 = RA Join the SF values between C and D by inclined line since the load is UDL. Refer Fig.2.25(b). BM calculation: BM at D = 0 Join the BM values between C and D by parabolic curve and other by a straight inclined line. The maximum BM is placed at B, because the SF is changes its sign. Result: SFD and BMD are shown by Fig.2.25(b) and (c) respectively. Example 2.15: A simply supported beam of 7 m span has a load of 12 kN/m uniformly distributed over 3 m. It is 1.5 m away from the right. In addition it has a point load of 8 kN at 2.5 m from the left hand support. Given: As shown in Fig.2.26(a). To draw: SFD and BMD Solution: Taking moment about A, SF calculation: SF at D = -RD = - 23.428 kN SF at C = -23.428 kN [⸪ No load between C and D] SF at B (without point load) = -RD + 12 kN/m × 3 m = - 23.428 + 36 = 12.572 kN SF at B (with point load) = 12.572 kN + 8 kN = 20.572 kN SF at A = + RA = 20.572 kN Draw the SFD as shown in Fig.2.26(b). BM calculation: BM at D= 0 The maximum BM is situated at a distance of x from the point A where the SF changes its sign. SF equation at that point is, RA - 8 kN - 12 × (x −2.5) m = 0 [ ⸪ the UDL is acting only (x -2.5) m length] 20.572 – 8 - 12x + 30 = 0 x = 3.547 m The maximum BM is acting at 3.547m from end A or 3.453m from end D. Maximum BM: Taking moment about the point where the SF is zero, [⸪ The UDL is acting for a distance of (3.453-1.5) m from the right side] = 23.428 × 3.453 - 22.885 Maximum BM = 58 KN-m Join the BM values between B and C by a parabolic curve. Since the load is UDL. Other values are connected by straight line. Refer Fig.2.26(c). Result: SFD and BMD are shown in Fig.2.26(b) and (c) respectively. Example 2.16: A beam is freely supported over a span of 6m. It carries a UDL of 3 kN/m over 1.5 m from the left hand support and also from the center upto the right hand support. It has, besides, two point loads of 2 and 5 kN at 1.5 and 4.5 m from left hand support. Construct the SF and BM diagrams. Given: As shown in Fig.2.27(a). To draw: SFD and BMD. Solution: Taking moment about A, SF at E = - RE = - 11.5625 kN SF at D (without point load) = - RE + 3 kN/m × 1.5 m = -11.5625 + 4.5 = - 7.0625 kN SF at D (with point load) = -7.0625 kN + 5 kN = 2.0625 kN SF at C = RE + 5 kN + 3 kN/m × 3 m = -11.5625 + 5 + 9 = 2.4375 kN Similarly, SF at B = 2.4375 kN + 2 kN = 4.4375 kN SF at A = 4.4375 kN + 3 kN/m × 1.5 m = 8.9375 kN or SF at A = + RA = 8.9375 kN Draw the SF diagram as shown in Fig.2.27(b). BM calculation: BM at E = 0 Maximum BM: We know that, the BM will be maximum where the SF changes its sign. SF equation for a distance x from end A. 8.9375 kN - 3 kN/m × 1.5 - 2 kN − 3 kN/m × (x − 3m) = 0 8.9375 - 4.5 – 2 - 3x + 9 = 0 x = 3.8125 m The BM will be maximum at 3.8125 m from end A or 2.1875 m from E. Taking moment about the point where SF is zero, Join the BM values between C & E and A & B by a parabolic curve because UDL is acting there. Join the BM value by straight line between B & C as shown in Fig.2.27(c). Result: SFD and BMD are shown by Fig.2.27(b) and (c) respectively. Example 2.17: A simply supported beam of length 5m carries a uniformly varying load of 800 N/m run at one end to zero at the other end. Draw the SF and BM diagrams for the beam. Also calculate the position and magnitude of maximum bending moment. Given: As shown in Fig.2.28(a). To draw: SFD and BMD. Find maximum BM and its position. Solution: Taking moment about A, SF calculation SF at B = -RB = -1333.33 N SF at A = RA = 666.67 N Join the above values by parabolic curve as shown in Fig.2.28(b). BM calculation: BM at A = 0 BM at B = 0 Maximum BM calculation: The BM is maximum where. the SF changes its sign. The SF is zero or changes its sign at a distance of x m from end B. The SF equation at that point is, Result: (i) The maximum BM is at a distance of 4.08m from end B and its value 1817.73 N-m. (ii) The SFD and BMD are shown by Fig.2.28(b) and (c) respectively. Example 2.18: Draw the shear force and bending moment diagram for the beam as shown in Fig.2.29 (a). Given: As shown in Fig.2.29(a). To draw: SFD and BMD. Solution: For this type of problem, the load is divided into two types. 1. One is UDL of 300N acting entire length. 2. Other is UVL of (950 – 300) N acting at end A and zero at end B. Now it is very simple to calculate the SF and BM. Taking moment about A, SF calculation: SF at B = - RB = - 775 N SF at A = RA = 1100 N Join the above values by parabolic curve as shown in Fig.2.29(b). BM calculation: BM at B = 0 BM at A = 0 Maximum BM calculation: Let the SF is zero at a distance of x m from B. The SF equation at that point is, Negative value is not possible. Therefore, x = 1.627 m from B. The maximum BM is, Join all the values by cubic curve as shown in Fig.2.28(c). Result: The SF and BM diagrams are shown in Fig.2.29(b) and (c) respectively. Example 2.19 : Analyse the beam as shown in Fig. 2.30(a) and draw the SFD and BMD. Given: As shown in Fig.2.30(a). To draw: (i) Maximum BM, (ii) Draw SFD and BMD Solution: Taking moment about A, SF calculation: SF at E = -RE = - 8.857 kN SF at D = - 8.857 + 3 × 2 = 2.857 kN SF at C = - 2.857 +5 = +2.143 kN SF at B = 2.143 KN SF at A = RA = 8.143 KN Join all the values by corresponding curves as shown in Fig.2.30(b). BM calculation: BM at E = 0 BM at A = 0 Join the BM values by respective curves as shown in Fig.2.30(c). Result: (i) The maximum BM value is 14.571 KN-m. (ii) The SFD and BMD are as shown in Fig.2.30(b) and (c) respectively.
13. SFD AND BMD FOR SIMPLY SUPPORTED BEAMS

SFD














14. SOLVED PROBLEMS ON SSB












SF calculation:











Strength of Materials: Unit II: Transverse Loading on Beams and Stresses in Beam : Tag: : Transverse Loading on Beams and Stresses in Beam - Strength of Materials - university solved problems on cantilever beam
Strength of Materials
CE3491 4th semester Mechanical Dept | 2021 Regulation | 4th Semester Mechanical Dept 2021 Regulation