Two Marks Questions with Answers: Torsion - Strength of Materials
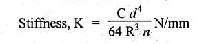
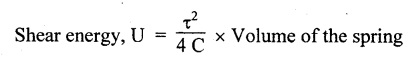
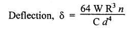
TWO MARK QUESTIONS AND ANSWERS 1. What is meant by spring? Spring is a device which is used to absorb energy by taking very large change in its form without permanent deformation and then release the same when it is required. 2. Classify the spring. The springs are classified as (i) Torsion spring (ii) Bending spring 3. What is meant by stiffness? What is the formula for the stiffness of a close coiled helical spring subjected to an axial load? The stiffness of the spring is defined as the load required to produce unit deflection. 4. A helical spring is made of 4mm steel wire with a mean radius of 25 mm and number of turns of coil 15. What will be deflection of the spring under a load of 6N? Take C = 80 × 103 N/mm2 . Given: Solution: 5. Differentiate between close-coiled and open-coiled helical springs. 6. Give shear stress and deflection relation for close-coiled helical spring. 7. The stiffness of spring is 10 N/mm. What is the axial deformation in the spring when a load is 50N is acting? Given: Solution: 8. An open coiled helical spring of mean radius of coil of 20 cm and helix angle of 12° is subjected to an axial load of 10N. What is the bending moment in coil? Given: Solution: 9. The stiffness of a spring is 10 N/mm and the axial deflection is 10mm. What is the axial load on the spring? Given: Solution: 10. What kind of stress induced when an axial load acts on a close coiled spring. Ans: Shear stress 11. What kind of stress introduced when an axial load acts on an open coiled spring? Ans: Bending stress and shear stress 12. The angle of helix of a spring is a, write down moment under an axial load 'W' at the free end. Ans: 13. Write down the equation for shear strain energy of a close coiled spring. 14. What is the value of maximum shear stress in a close coiled helical spring subjected to axial force W? 15. Write
the expression for vertical deflection of a close coiled helical spring due to
vertical load W. 16. What are the uses of closed coiled helical spring? Railway wagons, cycle seating, pistols, brakes etc. 17. Write the equation for the deflection of an open coiled helical spring subjected to an axial load, W. 18. What is meant by spring constant or spring index? Spring constant is the ratio of mean diameter of the spring to the diameter of the wire. 1. Derive the expression for deflection, shear stress and strain energy for close coiled helical spring when it is subjected to axial load W. 2. Derive the expression for equivalent stiffness when two springs are connected in (i) Series and (ii) Parallel. 3. Derive the expression for strain energy stored in the closed coiled helical spring when it is subjected to axial twisting couple. 4. Derive an expression for axial deflection and angular rotation of open coiled helical spring subjected to axial load. 5. Derive an expression for axial rotation and axial deflection of open coiled helical spring subjected to twisting couple. 6. What are the stresses induced in the open coiled helical spring wire when it is subjected to axial load and axial torque? Explain. 1. A closed coiled helical spring is made from steel wire 0.5 m diameter and there are ten free coils having a mean diameter of 6 m. The spring is subjected to an axial load of 40 N. Determine the maximum intensity of shear stress in the steel, and the total deflection under the above load. What is the stiffness in N per m of deflection? C = 24 × 106 N/m2. 2. A composite spring has two closed coiled helical springs connected in series, each spring has 12 coils of a mean diameter of 2.5 cm. Find the wire diameter in one if the other is. 2.5 mm, and the stiffness of the composite spring is 4 N/m. Estimate the greatest load that can be carried by the composite spring and the corresponding extension of a maximum shearing stress is 12 tons/sq.m. Take C = 11.5 × 106 N/m2. 3. A helical closed coiled spring has 8 coils of 2 cm diameter wire and mean radius of 5 cm. The axial length of the unloaded spring is 10 cm. If C = 12 × 106 N/cm2, calculate the extension of the spring under an axial load of 200 N. 4. A closely coiled helical spring is to be designed to have a mean coil diameter of 100 mm and deflect 15 cm under an axial load of 1250 N without the shear stress exceeding 25 tons/cm2. If wires are available in the following diameters 9.5 mm, 12.7 mm, 16 mm and 1.9 cm. Find the most suitable diameter, the number of coils required and the maximum shear stress developed. Take modulus of rigidity is 20 × 106 N/cm2. 5. A closed coiled helical spring of circular section has a mean coil diameter of 7.62 cm, when subjected to an axial torque of 5400 N-cm. There is an angular rotation of 90° and when an axial load of 900 N is applied, the spring extends 12.5 cm. Find the Poisson's ratio. 6. (a) A closed coiled helical spring made from 25.4 mm diameter steel has 20 coils of mean diameter 254 mm. Find the elongation under an axial pull of 1000 N. Take C = 12 × 106 N/mm2. (b) A truck weighing 3 tons travels at 4000 km/hr. Find how many of the above springs will be required to store energy of motion if the compression of the spring is limited to 205 mm. 7. An open coiled helical spring is made out of 20 mm diameter steel rod, the coils having 12 complete turns and a mean diameter of 200 mm, the angle of helix being 15°. Calculate the deflection under an axial load of 600 N and maximum intensities of direct and shear stresses induced in the section of the wire. If the axial load of 600 N is replaced by an axial torque of 16 N-m, calculate the angle of rotation about the axis of the coil and the axial deflection. Take C = 1.65 × 105 N/mm2 and E = 2.1 × 105 N/mm2. 8. An open coiled helical spring of 85 mm mean diameter is made of steel of 7 mm diameter. Calculate the number of turns required in the spring to give a deflection of 25 mm for an axial load of 400 N if the angle of helix is 18°. Calculate also the rotation of one end of the spring relative to the other if it is subjected to an axial couple of 15 N-m. Take E = 200 Gpa and G = 81 Gpa.















REVIEW QUESTIONS
PROBLEMS FOR PRACTICE
Strength of Materials: Unit III: Torsion : Tag: : Torsion - Strength of Materials - Two Marks Questions with Answers
Strength of Materials
CE3491 4th semester Mechanical Dept | 2021 Regulation | 4th Semester Mechanical Dept 2021 Regulation