‘2’ Marks Questions with answers : Engineering Physics: Applied Quantum Mechanics
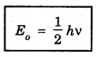
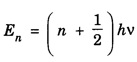
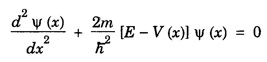
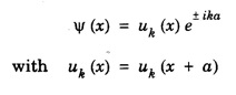
Part ‘A’ ‘2’ Marks Questions with answers 1. What is a harmonic oscillator? A particle undergoing simple harmonic motion is called a harmonic oscillator. 2. Give examples for harmonic oscillator. Familiar examples are; a simple pendulum, an object floating in a liquid, a diatomic molecule and an atom in a crystal lattice. 3. What is the significance of zero point energy in a harmonic oscillator? For lowest (ground) state, n = 0 This is the lowest value of energy, called zero point energy. Even it the temperature reduces to absolute zero, the oscillator would still have an amount of energy 1/2 hv. In old quantum mechanics, the energy of nth level. En = nhv whereas in wave mechanics 4. Define barrier penetration. The transmission of electrons through the barrier is known as barrier penetration. The phenomena is also termed as the tunnel effect. The phenomena of barrier penetration is entirely due to the wave nature of matter. 5. What is quantum tunneling? The phenomenon of transmission of a particle through a potential barrier of finite width and height, even when its energy is less that the barrier height is called quantum tunneling. 6. What are the significance of tunneling effect? 1. Tunneling is a very important physical phenomena which occurs in certain semiconductor diodes. In such diodes electrons pass through potential barriers even though their kinetic energies are smaller than the barrier heights. 2. The tunneling effect also occurs in the case of the alpha particles. The kinetic energy of alpha particle is only a few MeV but it is able to escape from a nucleus whose potential wall is perhaps 25 MeV high. 3. The ability of electrons to tunnel through a potential barrier is used in the Scanning Tunneling Microscope (STM) to study surfaces on an atomic scale of size. 7. What is an electron microscope? It is a microscope which uses electron beam to illuminate a specimen and it produces an enlarged image of the specimen. It has very high magnification power and resolving power when compared to optical microscope. 8. What are the types of electron microscopes? There are four types of electron microscopes. They are 1. Transmission Electron Microscope (TEM) 2. Scanning Electron Microscope (SEM) 3. Scanning Transmission Electron Microscope (STEM) 4. Scanning Tunneling Microscope (STM). 9. What is scanning tunneling microscope? It is an instrument used for imaging surfaces at the atomic level. In STM, good resolution is considered to be 0.1 nm lateral resolution and 0.01 nm (10 pm) depth resolution. With this resolution, individual atoms within materials are routinely imaged and manipulated. 10. What is the principle behind scanning tunnelling microscope. STM is based on the concept of quantum barrier tunneling. When a conducting tip is brought very near to the surface to be examined, a bias (voltage difference) is applied between the two can allow electrons to tunnel through the vacuum between them. Information is acquired by monitoring the current as the tip's position scans across the surface, and it is usually displayed in image form. 11. Mention few applications of STM. 1. The STM shows the positions of atoms - or more precisely, the positions of some of the electrons. 2. Uses of STM to study metals and semiconductors surface can provide non-trivial real space information. 3. One innovative applications of STM recently found is manipulation of atoms. 4. To analyze the electronic structures of the active sites at catalyst surfaces. 5. STM is used in the study of structure, growth, morphology, electronic structure of surface, thin flims and nano structures. 12. State the disadvantages of STM. • A small vibration even a sound can disturb the tip and the sample together. • A single dust particle can damage the needle. 13. What is resonant diode? A resonant tunneling diode (RTD) is a diode with resonant tunneling structure. The electrons can tunnel through some resonant states at certain energy levels. 14. Define resonant tunneling. The transmission probability of the double symmetric barrier is maximum. The tunneling current reaches peak value when energy of electron wave is equal to quantised energy state of the well. This phenomenon is known as resonance tunneling. 15. State Block Theorem. If an electron in a linear lattice of lattice constant 'a' characterised by potential function V (x) = V (x + a) satisfies the Schoredinger equation then the wave functions Ψ (x) of electron (with energy E) obtained as a solution of Schrodinger equation are of the form 16. What is an energy band? A set of closely spaced energy levels is called an energy band. 17. What is valence band? The electrons in the outermost shell are called valence electrons. The band formed by a series of energy level containing the valence electrons is known as Valence Band. 18. What is conduction band? The band formed by a series of energy level containing the conduction electrons is known as conduction band. The energy levels occupying this band is defined as the lowest unfilled energy band. This band may be empty or partially filled. In conduction band, the electrons can move freely. 19. What is forbidden gap? Both conduction band and valence band are separated by a region or gap is known as forbidden band or gap.



Engineering Physics: Unit V: Applied Quantum Mechanics : Tag: : Applied Quantum Mechanics | Engineering Physics - Two Marks Questions with Answers
Engineering Physics
PH3151 1st semester | 2021 Regulation | 1st Semester Common to all Dept 2021 Regulation