Two mark questions and answers: Turning Machines - Manufacturing Technology
TWO MARK QUESTIONS AND ANSWERS 1. What is a lathe? Lathe is a machine which removes the metal from a piece of work to the required shape and size. 2. Write the specifications of a typical lathe. (i) The length of bed (ii) Maximum distance between dead and live centres (iii) Type of bed i.e. straight, semi gap or gap type (iv) The height of centres from the bed (v) Swing over the bed (vi) Swing over the cross-slide (vii) Width of the bed (viii) Spindle bore (ix) Spindle speed (x) HP of main motor and rpm (xi) Number of spindle speeds (xii) Spindle nose diameter (xiii) Feeds (xiv) Floor space required. 3. What is meant by "swing of the lathe"? The largest diameter of work that will revolve without touching the bed and twice the height of the center measured from the bed of the lathe. It can also be defined as the swing of a lathe which describes the maximum diameter of an object that will clear off the bed of the machine when gripped in the chuck. 4. What is swing diameter? The largest diameter of work that will revolve without touching the bed and twice the height of the center measured from the bed of the lathe. 5. Write down any four operations performed on a center lathe. (i) Chamfering (ii) Knurling (iii) Filing (iv) Forming (v) Grooving 6. List out the various types of lathe. 1. Speed Lathe (a) Wood working lathe (b) Metal spinning lathe (c) Metal turning lathe (d) Polishing lathe. 2. Engine lathe (a) Step cone pulley drive lathe (b) Geared lathe (c) Variable speed lathe. 3. Bench lathe 4. Tool room lathe 5. Semiautomatic lathe (a) Capstan lathe (b) Turret lathe 6. Automatic lathe 7. Special purpose lathe (a) Crankshaft lathe (b) Wheel lathe (c) Duplicating lathe 8. Copying lathe. 7. What are the principle parts of a lathe? (a) Bed (b) Headstock (c) Tailstock (d) Carriage (e) Cross-slide (f) Tool post. 8. Explain following parts of a lathe. (a) Lathe bed: Bed is the base of the machine. It carries a headstock on its left end and tailstock on its right end. The carriage is mounted on middle of the bed. (b) Carriage: The carriage is a moving part which slides over the guide ways between headstock and the tailstock. 9. What are the main requisites of a lathe bed? The lathe bed should have accurately machined surface. It should be strong enough to withstand cutting forces and vibrations during machining. 10. What are the uses of headstock? 1. Headstock carries a hollow spindle with nose to hold the workpiece. 2. It is used to mount the driving and speed changing mechanisms. 11. What are the types of headstock? 1) Back geared type 2) All geared type. 12. What is the main difference between live centre and dead centre? (a) Live centre drives and rotates along with the workpiece. (b) Dead centre just supports the other end of the workpiece. 13. Write down the names of any four lathe Accessories. Lathe centres, catch plates, carriers, chucks, mandrels, rests and other special attachments such as milling, drilling and taper turning attachments. 14. How the taper is formed on the workpiece by using tailstock? The upper body of tailstock can be tilted towards or away from zero angle. In tailstock set over method, the workpiece is held between the live centre and dead centre. Now, the tailstock is moved crosswise i.e., perpendicular to the lathe axis by turning the set over screw. This process is called tailstock set over. Hence, the job is inclined to the required angle. The angle at which the axis of rotation of the workpiece is shifted is equal to the half angle of taper. 15. State the various parts mounted on the carriage. (a) Saddle (b) Compound rest (c) Cross slide (d) Tool post. 16. What are the functions of feed rod and lead screw? Feed rod: Feed rod is used to guide the carriage in a straight line when it moves along the bed. Lead screws Lead screw is used to move the carriage while thread cutting operation is carried out. It also ensures the proper speed of work relative to the tool for thread cutting operation. 17. How are holes drilled in a center lathe? First, the dead centre of the tailstock is replaced by a drill bit. The longitudinal movement of the tailstock is locked after setting the approach of drill. Finally, the hand wheel of the tailstock is rotated for making the hole on the specimen. 18. What is a compound rest? A member or part which is mounted on the top of the cross slide having a base graduated in degrees. 19. What are the types of tool post? 1) Single screw tool post 2) Open side tool post 3) Four bolt tool post and 4) Four way tool post. 20. How the cutting tool is fixed on a single screw tool post? And how can the tool height is varied? A single screw tool is used to hold only single tool which are clamped by clamping screw. The tool height can be varied by adjusting a rocker placed on the tool post. 21. State the provision for adjusting the tool height in open-side tool post. Parallel strips packing are used to adjust the tool height. 22. Name the methods of taper turning on lathe. (a) Form tool method (b) Tailstock set over method (c) Compound rest method (d) Taper turning attachment method. 23. Why is it essential that the cutting point of the tool should be level with the spindle center while machining taper on a workpiece? The cutting point of the tool should be level with the spindle center while machining taper on a workpiece is done to avoid eccentricity in taper turning. 24. Calculate the time taken for one complete cut on a workpiece of 500 mm long and 50mm diameter. The cutting speed is 30 m/min and the feed rate is 0.5 mm/rev. Given data: D = 50 mm L = 500 mm V = 30 m/min f = 0.5 mm/rev Solution: 25. What is an apron? Apron is an integral part of several gears, levers and clutches which are mounted with the saddle for moving the carriage along with lead screw while thread cutting. 26. What are the various thread cutting methods? 1. Reversing the machine 2. Marking the lathe parts 3. Using a chasing dial or thread indicator 4. Using thread chaser. 27. What is a centre gauge that is used in threading? A center gauge is a tool used in machining to check the angle of the tool bit used to cut screw threads. 28. Mention any two limitations of a centre lathe. a) Setting time is more to fix the job on a lathe b) Only one tool can be used at a time c) Idle time to set and move the tools are large d) Precise movement cannot be obtained to the designed place on the lathe. 29. List any four types of lathes. 1) Engine lathe 2) Bench lathe 3) Tool room lathe 4) Semi-automatic lathe 5) Automatic lathe. 30. What is a bench lathe? A small size lathe which has all parts similar to a center lathe which can be mounted on a bench. 31. Define a tool room lathe. A tool room lathe consists of all the necessary attachments required for accurate and precision machining. 32. What is a semi-automatic lathe? A lathe in which all the machining operations are automatically performed but loading and unloading of the workpiece, switching on or off the machine, coolant on or off are performed manually. 33. What are the two types of semiautomatic lathe? 1) Capstan lathe 2) Turret lathe. 34. What is the difference between a ram-type turret lathe and saddle type turret lathe? 35. How the semi-automatic lathe differs from center lathe? In the semi-automatic lathe, a hexagonal turret head replaces the tailstock. 36. What are the advantages of semi-automatic lathes? 1) The production time is minimized. 2) The accuracy will be high. 3) The production rate is increased. 37. What is an automatic lathe? In addition to automatic machining operations performed on semi-automatic lathe, loading and unloading of the workpiece are also performed automatically. 38. What are programmed automatic lathes? The automatic lathes produce parts by means of cams, stops or other mechanical methods are called programmed automatic lathes. 39. What is the need of automatic lathes? Automatic lathes are highly essential to produce the large number of identical parts without involvement of an operator. They are also used where the reduction of total machining should be reduced in mass production work. It can be achieved by reducing the feeding time, unloading time of workpieces and machining time through automation. Generally, the automation can be achieved by the use of cams. 40. Define special purpose lathe. The lathe which are specially designed for carrying out specific operations only aisre called a special purpose lathe. 41. What is copying lathe? The tool of this lathe follows a template or master through a stylus or tracer to produce profile on the workpiece. 42. What do you mean by copy turning? The turning is performed by the tool by following a template or master through a stylus or tracer. The tracer is connected to the cutting tool through hydraulic devices. According to the tracer movement, the tool moves to machine the job. 43. Define feed. Feed is defined as the movement of the tool relative to the work and the workpiece by a form tool. 44. What are the various mechanisms that are used for automatic feeding in lathes? 1) Tumbler gear mechanism 2) Quick change gearbox 3) Tumbler gear-quick change gearbox 4) Apron mechanism. 45. What is the purpose of tumbler gear mechanism of a lathe? Tumbler gear mechanism is used to change the direction of lead screw and feed rod relative to spindle rotation. By engaging the tumbler gear, the carriage can be moved along with the lathe axis in either direction during thread cutting or automatic machining. 46. List any four work holding devices. 1) Chucks 2) Centres 3) Face plate 4) Angle plate. 47. Mention the use of chucks. Chucks are used to hold the workpiece of small length and large diameter. 48. Mention four different types of chucks used in a machine shop. 1) Three jaw chuck (or) Self centering chuck. 2) Four jaw chuck or Independent chuck. 3) Magnetic chuck. 49. Why four jaw independent chuck is preferred over three jaw chucks in turning operations. When the chuck key is turned in three jaw chucks, all jaws will move for equal distance in the radial direction. The chuck has an internal mechanism to simultaneously move three jaws. In four jaw chucks, when the chuck key is turned in the slot, the particular jaw will only be moved. Therefore, the irregular job can be held in this chuck. These jaws can be reversed for holding large hollow workpieces. Concentric circles are inscribed on the face of the chuck for quick centering of workpieces. So, four jaw chucks are preferred for turning operations. 50. Why were power chucks developed? Power chucks are primarily developed for the use of work holding devices in automatic machines, numerical Control and CNC machines to reduce the loading time. 51. What is the application of Air operated chuck? Small and medium sized workpieces are mounted with the help of air-operated chucks in semi-automatic and automatic lathes because they are very easy to operate and requires less power to hold the workpiece. 52. What are the advantages of using a collect chuck? 1. Job setting will be easy and quicker. 2. Heavy cut can be taken. 53. What is the purpose of a mandrel? How many types of mandrels is there in common use? Mandrels are used for holding hollow workpieces. Various types of mandrels used are as follows: 1. Plain mandrel 2. Collar mandrel 3. Cone mandrel 4. Special mandrel 5. Step mandrel 6. Expansion mandrel 7. Gang mandrel. 54. Define steady and follower rest. Steady rest: It is fixed on bed ways of the lathe by clamping the bolts. Follower rest: It is mounted on the saddle and moves together with the tool. 55. Define filing operation. Filing is the process of removing bars, sharp corners and feed tharks on a workpiece by removing less amount of metal. 56. What is meant by forming operation? Forming is the process of producing concave, convex and any irregular shapes. 57. Define the process “grooving". Grooving is the process of reducing the diameter of the workpiece over a very narrow surface. 58. What is meant by the term "Eccentric"? The axis of one cylinder is off-set with the axis of other cylinder. 59. What is drilling operation? Drilling is the operation of producing a cylindrical hole in the workpiece. 60. What is reaming and boring operation? Reaming: It is the operation of finishing and sizing of already drilled holes. Boring: It is the process of enlarging an already drilled hole. 61. What is milling operation? The operation of removing metal by using a rotating cutter having multiple cutting edges is known as milling. 62. What is meant by tapping? Tapping is the operation of forming internal thread for small diameter by using a multipoint tool. 63. Explain why operations such as boring on a lathe and tapping are difficult. Tooling design imposes the workpiece mostly surrounding the tool. Boring and tapping are inherently more challenging than turning in terms of decreased tool holding rigidity, increased clearance angle requirements and difficulty of inspection of the machined surfaces such size, form and surface roughness. 64. Define "taper". Taper is defined as a uniform change in the diameter of a workpiece measured along its length. 65. Define the term “Conicity”. It is the ratio of the difference in diameters of the taper to its length. where D - Bigger diameter d - Smaller diameter l - Length of the workpiece. 66. List the different taper turning methods. (a) Form tool method (b) Tailstock set over method (c) Compound rest method (d) Taper turning attachment method. 67. Determine the angle at which the compound rest will be swivelled when cutting a taper on a piece of work having the following dimensions. Outside diameter = 60 mm Length of the tapered portion = 80 mm and Smallest diameter = 20 mm: Given data: D = 60 mm l = 80 mm (Length of tapered portion) d = 20 mm Solution: 68. What is thread cutting operation? Thread cutting is the operation of producing continues helical groove on a cylindrical workpiece. 69. How can the number of teeth on various change gears be calculated? 70. Define the term “Thread catching”. The process of following the same path of the tool when it travels in the previous cut is called thread catching or thread picking-up. 71. Calculate taper of a given workpiece having 1/4 conicity. 72. Write down the formula to find the following parameters. where L - Total length of workpiece x - length of tool approach ƒ - Feed N – Speed and y - Over run 73. How is turret lathe classified? 1. Ram type 2. Saddle type. 74. State the important requites of capstan and turret lathe. 1) Bed 2) Headstock 3) Turret head 4) Saddle and cross slide. 75. What are the various types of cross-slides? 1) Reach over type 2) Side hung type. 3) Pre-selective stock 76. What is the special provision made in pre-selective headstock? The speed changing for different machining operations can be done by simply pushing a button or pulling a lever to select the speed of the next operation in advance. 77. What type of mechanism is used for indexing the turret head for the next operation? Geneva or indexing-mechanism. 78. Name any four work holding devices used in semi-automatic lathes. 1) Collets 2) Chucks 3) Fixtures 4) Power chucks. 79. What is collapsible tap? A collapsible tap is used for making internal threads. During threading, the cutting edges of the tap collapse to reduce its overall diameter. 80. Name any four tool holding devices used in semi-automatic lathes. 1) Multiple cutter holder 2) Offset cutter holder 3) Sliding cutter holder 4) Knee tool holder. 81. What is bar stop? Bar stop is a workstop. It is used for setting the required length of the workpiece. 82. Draw a neat sketch of 'Geneva mechanism' used in turret lathes for automatic indexing. 83. What is tooling? The planning of operation sequence and preparation of turret or capstan lathe are termed as tool-layout or tooling. 84. Write short notes on tool layout. These planning of operation sequence and preparation of turret or capstan are termed as tool layout. The accuracy and cost of the product are largely dependent on an efficient tool layout. The tool layout mainly consists of three stages. 1. Planning and scheduling stage: preparation of operation sheet with the order of operation. 2. Detailed sketching of various stages of machining operations in a sequence of operations. 3. Sketching the plan showing the various tools fitted into the hexagonal turret faces and on the cross slides in a proper sequence. 85. What are the different drives used in copying lathes? 1) Mechanical drives 2) Air or hydraulic drives 3) Hydraulic drives. 86. What are the components that can be turned on a copying lathe? 1) Camshaft 2) Crankshaft 3) Journal bearings. 87. Define automatic machine. Automatic machine or simply automats are machines tools in which all operations required to make the finished component are automatically done without the attention of an operator. 88. Write the advantages of automats over conventional lathes. a) Mass production of identical parts. b) High accuracy is maintained. c) Time of production is minimized d) The bar stock is fed automatically. e) Less floor space is required. f) Unskilled labour is enough. It minimizes the labour cost. g) One operator can be utilized to operate more than one machine. 89. Differentiate automats and conventional lathes. 90. Classify automats. 1. Classification according to the type of work material used a. Bar stock machine b. Chucking machine 2. Classification according to the number of Spindles a. Single spindle automats b. Multi spindle automats 3. Classification according to the arrangement of spindles a. Horizontal spindle type. b. Vertical spindle type 4. Classification according to the feed control a. Single cam shaft rotating at constant speed b. Single cam shaft with two speeds c. Two cam shaft 5. Classification according to the use a. Single purpose machine b. General purpose machine. 91. What are the types of single spindle automatic lathes? (i) Automatic cutting off machine (ii) Automatic screw cutting machine (iii) Swiss type automatic screw machine. 92. State the purpose of providing lead cam in single spindle automatic screw cutting machine? The turret slide travel is controlled by a lead cam. The lead cam gives a slow forward and fast return movement to the turret slide. 93. Mention the applications of single spindle automatic screw cutting machine. It is used for producing small jobs, screws, stepped pins, taper pins, bolts etc. 94. What are the advantages of sliding head automatic lathes? The advantage of a sliding head automatic lathe is that the long slender workpieces can be machined with very good surface finish, accuracy and concentricity in sliding head automatic lathes. 95. What is Swiss type automat? In Swiss type automat, the work is fed against the tool. The headstock carrying the bar stock moves back and forth for providing the feed movement in the longitudinal direction. 96. What are the four major parts of Swiss type automatic lathes? (a) The sliding headstock through which the bar stock is passed and gripped by a carbide-lined guide bush. (b) The camshaft, controlling the bar stock and cutting tool movements. (c) The tool bracket supporting five tool slides and a bush for stock. (d) Auxiliary attachments for performing various operations such as knurling, drilling, tapping, screwing, slotting, and recessing etc. 97. Give a sketch illustrating the principle of operation of Swiss type automatic lathe. The work is fed against the tool: The headstock carrying the bar stock moves back and forth for providing the feed movement in the longitudinal direction. 98. State the advantages of Swiss type screw cutting machine. (i) Wide range of speeds is possible. (ii) It is rigid construction. (iii) It has a micrometer tool setting. (iv) Interchangeability of cams is possible. (v) Numerous working stations are available. 99. What are the differences between automatic lathe and capstan lathe? 100. Classify multi-spindle automats. 1. According to the type of workpiece (stock) used. (a) Bar type machine (b) Chucking type machine. 2. According to the arrangement of spindle (a) Horizontal spindle typë (b) Vertical spindle type. 3. According to the principle of operation. (a) Parallel action type (b) Progressive action type. 101. Compare the parallel action and progressive action multi spindle automatic lathes.











Manufacturing Technology: Unit II: Turning Machines : Tag: : Turning Machines - Manufacturing Technology - Two mark questions and answers
Manufacturing Technology
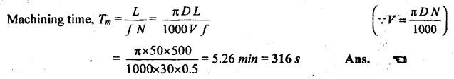
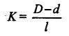
ME3493 4th semester Mechanical Dept | 2021 Regulation | 4th Semester Mechanical Dept 2021 Regulation