Two mark Questions and Answers: Transverse Loading on Beams and Stresses in Beam - Strength of Materials
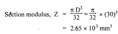
TWO MARK QUESTIONS AND ANSWERS Theory of simple bending 1. Write down the bending equation. The bending equation is Where, M - Bending moment I - Moment of inertia of the section σb - Bending stress at that section y - Distance from the neutral axis E - Young's modulus of the material R - Radius of curvature of the beam 2. What are 'neutral axis' and 'neutral plane'? Neutral plane: The surface in which there are no longitudinal stresses acting is called neutral plane or layer. In such planes there is neither compression nor expansion takes place due to transverse load. Neutral axis: A trace of this plane on any transverse plane of the beam is called the neutral axis. 3. What are the assumptions made in the theory of bending? (i) The material is perfectly homogeneous and isotropic. It obeys Hooke's law. (ii) The value of Young's modulus is the same in tension as well as in compression. (iii) The radius of curvature of the beam is very large compared to the cross section dimensions of the beam. (iv) The resultant force on a transverse section of the beam is zero. 4. Define 'section modulus'. It is the ratio of moment of inertia of the section to the distance of plane from neutral axis. 5. What is moment of resistance of the section? It is the product of section modulus and the bending stress at that section. M = σb × Z 6. What is a flitched beam? Why it is used? A beam which is constructed by two different materials is called flitched beam or composite beam. It is mainly used to reinforce the material which has lower strength and reduce the cost. 7. State the theory of simple bending. If a beam is bend only due to application of constant bending moment and not due to shear, then it is called simple bending. 8. A beam subjected to a bending stress of 5 N/mm2 and the section modulus is 3530 cm3. What is the moment of resistance of the beam? σb = 5 N/mm2; Z = 3530 cm3 = 3530 × 103 mm3 Moment of resistance. M = σb × Z = 5 × 3530 × 103 = 17.65 × 106 N-mm 9. What is the section modulus for a circular and a hollow circular section? Where, D - outer diameter, d - inner diameter. 10. The section modulus of a circular section of diameter 30 mm is ―― 11. Is bending stress a direct stress or shear stress? Direct stress



Strength of Materials: Unit II: Transverse Loading on Beams and Stresses in Beam : Tag: : Transverse Loading on Beams and Stresses in Beam - Strength of Materials - Two mark Questions and Answers
Strength of Materials
CE3491 4th semester Mechanical Dept | 2021 Regulation | 4th Semester Mechanical Dept 2021 Regulation