(a) Form tool method (b) Tailstock set over method (c) Compound rest method (d) Taper turning attachment method.
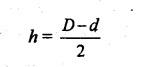
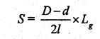
TAPER TURNING METHODS (a) Form tool method (b) Tailstock set over method (c) Compound rest method (d) Taper turning attachment method. It is one of the simplest methods to produce short taper. The form tool is ground to the required angle. When the workpiece rotates, the tool is fed perpendicular to the lathe axis as shown in Figure 2.52. The taper length should be less than the tool cutting edge length. As the entire cutting edge removes the metal, it will create a lot of vibrations to machine tools. and a large force is required. It is done at a slow speed. This method is employed when the angle of taper is very small (less than 8o). The workpiece is held between live centre and dead centre. Now, the tailstock is moved crosswise i.e., perpendicular to the lathe axis by turning the set over screw. This process is called tailstock set over. Hence, the job is inclined to the required angle. The angle at which the axis of rotation of the workpiece is shifted is equal to the half angle of taper. The tool is moved parallel to the lathe axis when the workpiece rotates. So, the taper will be turned on the workpiece. This method is used for making long taper length on full-length job. The reduction in diameter will be twice the offset of tailstock centre if the entire length is turned. The major limitation of this method is that the stress applied during taper turning is not equal at live centre and dead centre. Hence, the wear is not uniform. The tailstock set over can be calculated by using the following methods. (a) Case 1: For giving a taper 1 in 10 on a workpiece of 120 mm long, the taper on 120 mm length = 120/10 12 mm. Then the tailstock set over = 12/2 = 6 mm. (b) Case 2: For a taper of 10° on a workpiece of 120 mm long, the sine of half angle of taper Set over / Taper length. Or, tailstock set over = 120 sin 5° = 10.46 mm. When the angle is small, sin α = tan α. (c) Case 3: When the major and minor diameters of the workpiece are given for taper turning of particular length, the tailstock set over can be calculated by using the following formula. where D - Major diameter of the workpiece d - Minor diameter of the workpiece l - Required length on which taper being made L - Full length of the workpiece. If the taper is turned on entire length of the workpiece, then l = L This method is used to produce a short and steep taper. In this method, the work is held in a chuck and it is rotated about the lathe axis. The compound rest is swivelled to the required angle and clamped in position. The angle is determined by using the formula, tan α = D – d /2l. Then, the tool is fed by the compound rest hand wheel. This method is used for producing both internal and external tapers. The compound rest can be swivelled up to 45° on both sides. The tool should be moved by hand. A taper turning attachment is attached to the rear end of the bed by using a bottom plate or bracket. It has a guide bar which is pivoted as its centre. This guide bar can swing and set at any required angle. It has graduations in degrees. The guide bar can be swivelled to a maximum of 10° on either side. It has a guide block which connects to the rear end of the cross slide and it moves on the guide bar. Before connecting the cross slide, the binder screw is removed such that the cross slide is free from the cross-slide screw. During taper turning, the job is held between centres or in a chuck. The guide bar is turned to a required angle. The angle is calculated using the formula, tan α = D – d /2l. When the division is given in mm instead of degrees, then the angular distance (in mm) of the guide bar to be tilted is given by where Lg - Half of the total length of the guide bar. S - Number of divisions in mm When the longitudinal feed is given, the tool will move at an angular path as the guide block moves at an angle on the guide bar. The compound rest hand wheel is used to give the depth of cut. The guide is set at half taper angle. By this method, any type of taper can be turned. Advantages of compound rest method: (a) The attachment can be quickly set. (b) Tapers can be turned without disturbing the normal setup and alignment of main parts of the lathe. (c) External and internal tapers can be tapered. (d) Long tapers can be easily produced. (e) Threads can be produced on the tapered surface. (f) Accurate tapers can be easily obtained in a single setting. (g) It provides better surface finish. (h) Skilled operator is not necessary.1.Form Tool Method

2. Tailstock Set Over Method


3. Compound Rest Method

4. Taper Turning Attachment Method


Manufacturing Technology: Unit II: Turning Machines : Tag: : Turning Machines - Manufacturing Technology - Taper turning methods
Manufacturing Technology
ME3493 4th semester Mechanical Dept | 2021 Regulation | 4th Semester Mechanical Dept 2021 Regulation