solved problems on machining time calculations: Turning Machines - Manufacturing Technology
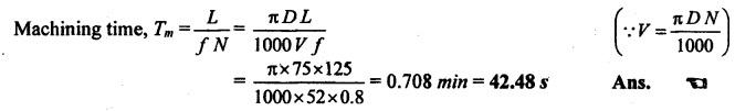
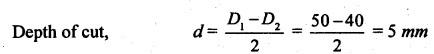
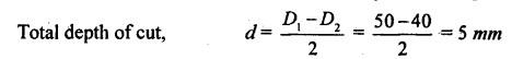
SOLVED PROBLEMS ON MACHINING TIME CALCULATIONS Problem 2.14 Calculate the cutting speed on a piece of mild steel of 100 mm diameter rotating at 300 rpm. Given data: D = 100 mm N = 300 rpm Solution: Problem 2.15 A shaft of diameter 60 mm is to be turned on a lathe at a cutting speed of 45 m/min. Find the required rpm of the shaft. Given data: V = 45 m/min D = 60 mm Solution: Problem 2.16 Calculate the time taken to turn a brass component 75 mm diameter and 125 mm long if the cutting speed is 52 m/min and the feed is 0.8 mm/rev. Only one cut is to be considered. Given data: D =75 mm L = 125 mm V = 52 m/min f = 0.8 mm/rev Solution: Problem 2.17 Calculate the time to face a workpiece of 80 mm diameter. The spindle speed is 115 rpm and the cross feed is 0.4 mm/rev. Given data: D = 80 mm N = 115 rpm f = 0.4 mm/rev Solution: Problem 2.18 Calculate the time required for one complete cut on a piece of work having 250 mm long and 40 mm diameter. The cutting speed is 32 m/min and the feed is 0.4 mm/rev. Given data: L = 250 mm D = 40 mm V = 32 m/min f = 0.4 mm/rev Solution: Problem 2.19 A hollow workpiece of 250 mm long and 40 mm diameter is to be turned in 4 passes. Calculate the machining time if the approach length = 15 mm, over travel = 10 mm, feed = 0.7 mm/rev and cutting speed = 32 m/min. Given data: L = 250 mm D = 40 mm n = 4 passes x = Length of tool approach 15 mm y = Length of tool over travel = 10 mm ƒ = 0.7 mm/rev V = 32 m/min Solution: Problem 2.20 A solid metal shaft of 200 mm long and 60 mm diameter is to be reduced to 58 mm in one pass of turning. Calculate the material removal rate and machining time if the spindle speed is 350 rpm and feed is 210 mm/min. Given data: L = 200 mm D1 = 60 mm D2 = 58 mm n = 1 pass N =350 rpm f = 210 mm/min Solution: Problem 2.21 Calculate the time required to machine a workpiece 200 mm long, 50 mm diameter to 194 mm length and 40 mm diameter if the workpiece rotates at 300 rpm for a feed rate of 0.2 mm/rev. The maximum depth of cut per pass is 2 mm. Take tool approach and tool over travel distance is 15 mm for turning operation. Given data: L1 = 200 mm D1 = 50 mm L2 = 194 mm D2 = 40 mm N = 300 rpm f = 0.2 mm/rev Tool approach and tool over travel distance = 15 mm Solution: Since both diameter and length of job is to be reduced by turning and facing respectively, the calculations are done first for turning and then for facing. Time required for turning operation: Total distance travelled by the tool in single pass, L = 200 + 15 = 215 mm Since the maximum depth of cut is 2 mm, then the number of passes required is n = 5/2 = 2.5 ≈ 3 passes. Time required for facing operation: Diameter if the workpiece is to be reduced from 50 mm to 40 mm. But before facing, diameter of the workpiece is already turned down to 40 mm diameter. Hence, the length of tool travel in facing is equal to half of the job diameter. i.e. L = 40/2 = 20 mm. Problem 2.22 A shaft of 150 mm long and 50 mm diameter is to be reduced to 40 mm diameter by turning. The turning operation is carried out with rough machining of speed 25 m/min and finish machining of speed 50 m/min. The feed for rough machining is 0.2 mm/rev while that for finishing is 0.1 mm/rev. The maximum depth of cut for rough machining is 2 mm. Finish allowance may be taken as 1 mm. Calculate the machining time required for this operation. Also, estimate the power required for rough machining and finishing passes if the constant K = 1200 N/mm2. Given data: L = 150 mm D1 = 50 mm D2 = 40 mm For rough machining, V = 25 m/min f = 0.2 mm/rev d = 2 mm For finishing, V = 50 m/min f = 0.1 mm/rev Finishing allowance = 1 mm K = 1200 N/mm2 Solution: Since the machining operation is done by using rough machining first and then finish machining, the calculations are done first for rough machining and then for finishing. Time required for rough machining operation: Material to be removed using rough machining, = 5 − 1 = 4 mm Since maximum depth of cut for rough machining is given as 2 mm, Time required for finish machining operation: Finish machining is carried out in single pass usually. Hence, n = 1. Power estimation: For rough machining operation, Power required, P = K × d × ƒ × V













Manufacturing Technology: Unit II: Turning Machines : Tag: : Turning Machines - Manufacturing Technology - solved problems on machining time calculations
Manufacturing Technology
ME3493 4th semester Mechanical Dept | 2021 Regulation | 4th Semester Mechanical Dept 2021 Regulation