SOLVED PROBLEMS of Oscillations: Engineering Physics: Oscillations
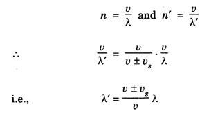
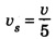
SOLVED PROBLEMS Problem 3.1 A second source is approaching a stationary observer with a velocity of 166 m/s. The observer hears a sound whose apparent frequency is twice the real frequency. Find the speed of sound in air. Solution: If n is real frequency, then due to motion of source, the apparent frequency (n') is given by where v is velocity of sound in air Problem 3.2 An observer is approaching a stationary sound-source vibrating with frequency 90 vibrations / second with a velocity one-tenth the velocity of sound. What is the apparent frequency heard by observer? Solution: If n is real frequency, then apparent frequency due to approaching observe is Problem 3.3 A railway engine moving with a speed of 60 m/s passes in front of a stationary listener. The real frequency of the whistle is 400 Hz. Calculate the apparent frequency heard by the listener. (i) When the engine is approaching the listener (ii) When the engine is moving away from the listener (velocity of sound = 340 m/s] Solution: Given n = 400 Hz, v = 340 m/s, vs = 60 m/s (i) When engine is approaching the listener (ii) When the engine is moving away from the listener, then Problem 3.4 A source of sound produces waves of wavelength 60 cm. This source is moving towards north with a speed one-fifth the speed of sound. Find the apparent wavelength of waves in the north and south directions. Solution: If sound source is moving with velocity vs relative to observer, then apparent frequency Here (+) sign is for receding and (-) sign for approach. If λ and λʹ are real and apparent wavelengths, then Given and for observer in south-direction

where v is velocity of sound.




and λ = 60 cm. As source is approaching towards north, therefore for observer in north-direction.

Engineering Physics: Unit III: a. Oscillations : Tag: : Engineering Physics - Solved Problems of Oscillations
Engineering Physics
PH3151 1st semester | 2021 Regulation | 1st Semester Common to all Dept 2021 Regulation