In many situations, the composite of two shafts are connected in series.
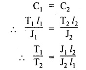
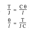
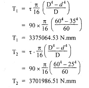
SHAFT IN SERIES In many situations, the composite of two shafts are connected in series. In this case, each shaft transmits the same torque but the angle of twist is the sum of the angle of twist of the two shafts connected in series. Here the driving torque is applied at one end and the resisting torque at the other end. When the driving torque is applied at the junction of the shafts and the resisting torque is a the other ends of the shafts, then the shafts are said to be in parallel. Here the angle of twist is same for each shaft, but the applied torque is divided between the two shafts. If the shafts are made of same material, If the shafts shared the torque equally, then Example 3.41 Find the total angle of twist at the free end, if the maximum 85 GN/m2. The stepped shear stress in the shaft is limited to 80 MN/m2. Take C steel shaft in Fig. is subjected to a torque T at the free end and a torque of 2T in the opposite direction at the junction of two sizes. Given: To find: Total angle of twist at free end. Solution: For the length BC, Here θ1, and θ2 are in opposite directions. ⸫ The total angle of twist at C, Result: Example 3.42 A solid steel shaft 8m long is securely fixed at each end. A torque of 1000 Nm is applied to the shaft at a section 2.5 m from one end. Find the fixing torques set up at the ends of the shaft. If the diameter of the shaft is 30 mm, what are the maximum shear stresses in the two portions? And calculate the angle of twist for the section where the torque is applied. Take C = 85 GN/m2. Given: To find: (i) Maximum shear stress in two shafts (ii) Angle of twist Solution: In this case, Substitute the above value in equation (2), Result: The compound shaft of a gun metal sleeve is fixed securely to a steel shaft as shown in Figure is subjected to a torque. Find the ratio of the external diameter of sleeve to the diameter of the shaft, if the torque on the sleeve is twice the torque on the shaft. Given: Solution: The steel shaft and gun metal sleeve are fixed together, so the length and angle of twist are same. Result: A hollow shaft is 1 m long and has external diameter 60 mm. It has 25 mm internal diameter for a part of length and 35 mm internal diameter for the rest of the length. If the maximum shear stress is not to exceed 90 MN/m2 , determine the maximum power transmitted by it at a speed of 320 rpm. If the twists produced in the two portions of the shaft are equal, find the the lengths of the two portions. Given: To find: Length of two parts of the shaft. Solution: Maximum power transmitted, Result: l1 = 476.72 mm, l2 = 523.28 mm

SHAFTS IN PARALLEL



SOLVED PROBLEMS









Example 3.43





Example 3.44





Strength of Materials: Unit III: Torsion : Tag: : Torsion - Strength of Materials - shaft in series
Strength of Materials
CE3491 4th semester Mechanical Dept | 2021 Regulation | 4th Semester Mechanical Dept 2021 Regulation