Schrodinger time dependent wave equation is derived from Schrodinger time independent wave equation.
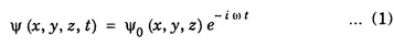
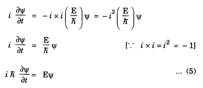
SCHRODINGER TIME DEPENDENT WAVE EQUATION Schrodinger time dependent wave equation is derived from Schrodinger time independent wave equation. The solution of classical differential equation of wave motion is given by Differentiating eqn (1) with respect to time t, we get out Multiplying i on both sides in eqn (4), we have Schroedinger time independent wave equation is Substituting for EΨ from eqn (5) The eqn (7) is known as Schrodinger time dependent wave equation. Note: In eqn (7), there is term 




representing time. That is why it is called time dependent wave equation.
Engineering Physics: Unit IV: Basic Quantum Mechanics : Tag: : - Schrodinger Time Dependent Wave Equation
Engineering Physics
PH3151 1st semester | 2021 Regulation | 1st Semester Common to all Dept 2021 Regulation