The study of mechanisms involves both their analysis as well as synthesis.
REVIEW AND SUMMARY
• The study of mechanisms involves both their
analysis as well as synthesis.
1. Analysis of
mechanisms involves the study of motion and forces concerning
different parts of the mechanism.
2. Synthesis of
mechanisms involves the design of various parts of a machine concerning
(1) its shape and size, (ii) materials to be used, and (iii) the arrangement of
parts so that the resulting machine can perform the desired tasks.
• A kinematic link, also known as
simply a link or an element, is defined as a single
part (or an assembly of rigidly connected parts) of a machine which has motion
relative to some other part of the machine.
• Types of links:
1. Rigid link
2. Flexible link
3. Fluid link
• Structure is an assemblage of
number of resistant bodies having no relative motion between them.
• The three types of constrained motions in
kinematic pairs are:
1. Completely
constrained motion
2. Incompletely
constrained motion
3. Successfully
constrained motion
• When any two links are connected in such a way that
the relative motion is completely or successfully constrained, they form a kinematic
pair.
• Classification of kinematic pairs:
1. Depending upon the
nature of relative motion between the links:
1. Sliding (or
prismatic) pair
2. Turning (or
revolute) pair
3. Screw (or helical) pair
4. Cylindrical pair
5. Spherical (or
globular) pair
6. Rolling pair
II. Depending upon the
nature of contact between the links:
1. Lower pair: If a kinematic pair
in motion has a surface or area contact between the two links, it is called a
lower pair.
2. Higher pair: If a kinematic pair
in motion has a line or point contact between the two links, it is called a
higher pair.
III. Depending upon
the nature of mechanical arrangement between the links:
1. Closed (or
self-closed) pair
2. Force closed (or unclosed
or open) pair
• A kinematic chain is defined as the
combination of kinematic pairs in which each link forms a part of two kinematic
pairs and the relative motion between the links is either completely
constrained or successfully constrained.
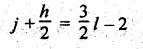
• The required equations/conditions to form a kinematic
chain are:

where
n = Number of links,
p = Number of pairs,
j = Number of binary
joints, and
h = Number of higher
pairs.
• A.W. Klien's criterion of constraint to determine
the nature of chain:
In equation 
(i) If
L.H.S > R.H.S., then the given chain is called locked chain or
structure.
(ii) If L.H.S. = R.H.S.,
then the given chain is called constrained kinematic chain.
(iii) If L.H.S.
< R.H.S., then the given chain is called unconstrained kinematic chain.
• Types of joints in a chain:
1. Binary joint
2. Ternary joint: One
ternary joint is equivalent to two binary joints.
3. Quaternary joint:
One quaternary joint is equivalent to the three binary joints.
• Mechanism Vs. Machine:
■
A mechanism
is a device to transmit and modify motion.
■
A machine
is a mechanism or a collection of mechanisms which transmits both promotion and
forces.
• The degree of freedom is the number
of independent parameters required to specify the location of every link within
a mechanism.
• The mobility of a mechanism is
defined as the number of inputs required to produce the constrained motion of
the mechanism.
• Grubler's equation for planar mechanism:
DOF = 3 (n - 1)
— 2l - h
where DOF = Degrees of
freedom of the mechanism,
n = Number of links,
l = Number of lower
pairs (or binary joints), and
h = Number of higher
pairs.
1. If DOF = 0,
the device is a statically determinate structure.
2. If DOF ≥ 1,
the device is a mechanism having constrained motion.
3. If DOF ≤ -1,
the device is a statically indeterminate structure.
• Kutzbach equation for spatial
mechanism:
DOF = 6 (n - 1)
-5p1 - 4p2 -3 p3 - 2 p4
- 1 p5
where n1 =
Number of links,
p1 = Number of pairs
having 1 DOF,
p2 = Number of pairs
having 2 DOF, and so on.
• The process of obtaining different mechanisms by
fixing different links in a kinematic chain is known as kinematic
inversion.
• Types of kinematic chain:
1. Four-bar chain
2. Single slider-crank
chain
3. Double slider-crank
chain
• Grashof's law states that for a
planar four-bar mechanism, the sum of the shortest and gest links must be less
than or equal to the sum of the lengths of other two links, if there is to be
continuous relative motion between two members.
• Grashof's law: s + l ≤ p +
q
where s and l =
Lengths of the shortest and longest links respectively, and
p and q = Lengths
of the other two links.
The four-bar chain that satisfies the Grashof's law is known as Grashof's chain.
Theory of Machines: Unit I: Kinematics of Mechanisms : Tag: : Kinematics of Mechanisms - Theory of Machines - Review and summary
Theory of Machines
ME3491 4th semester Mechanical Dept | 2021 Regulation | 4th Semester Mechanical Dept 2021 Regulation