Definition: Root Mean Square Value [RMS Value] (or) Effective value
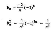
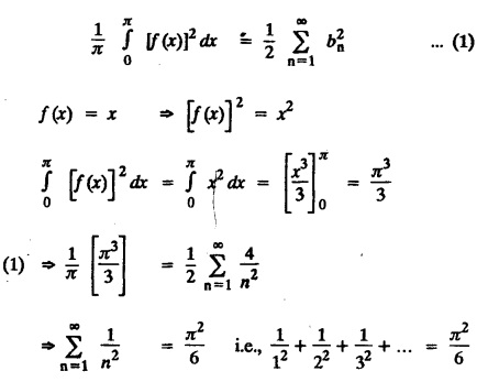
PARSEVAL'S RELATION (or) THEOREM (or) IDENTITY Definition: Root Mean Square Value [RMS Value] (or) Effective value Note: Parseval's theorem gives the values of root mean square of f (x) in terms of its Fourier coefficients. Problems based on Parseval's theorem Example 2.5.1 : Obtain the Fourier series expansion of f(x) = x2 in (-1, 1). Find the sum of Solution : ƒ(-x) = f(x) Therefore f(x) is an even function. Hence bn = 0 By Parseval's theorem, Example 2.5.2 : Find the sine series for ƒ (x) = x in 0 < x < л. Using R.M.S. value, show that Solution: See the value ba in Example 2.3.a(1) Using R.M.S. value Example 2.5.3: Find the Fourier series x2 in (-л, л). Use Рarsevals identity to prove Solution : Example 2.5.4 : Find the cosine series for f(x) = x in (0, л) and then using Parseval's theorem. Solution : Example 2.5.5: Find the half range cosine series of f (x) = (π - x2) in the interval (0,л). Hence find the sum of the series Solution: See Page No. 2.137 the values in Example 2.3.b(7) Example 2.5.6: Find the half-range cosine series for the function f(x) = x (л − x) in 0 < x < л. Deduce that Solution : See the values in Example 2.3.b(8)















EXERCISES 2.5

Transforms and Partial Differential Equations: Unit II: Fourier Series : Tag: : Definition, Solved Example Problems | Fourier Series - Parseval's relation (or) theorem (or) identity
Transforms and Partial Differential Equations
MA3351 3rd semester civil, Mechanical Dept | 2021 Regulation | 3rd Semester Mechanical Dept 2021 Regulation