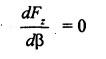
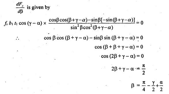
According to this theory, the relation between rake angle (α), shear angle (β) and friction angle (γ) is given by
MODIFIED MERCHANT THEORY According to this theory, the relation between rake angle (α), shear angle (β) and friction angle (γ) is given by The following conclusions are made by Merchant 1. Shear will take place in the direction in which the energy required for shearing is minimum. 2. Shear stress is maximum at the shear plane and it remains constant. Since, the Merchant's model is based on the minimized rate of energy consumption which is equal to Fz × r. For optimum value of β, Differentiating the above equation Fz with respect to β and equating it to zero.



Manufacturing Technology: Unit I: Mechanics of Metal Cutting : Tag: : Mechanics of Metal Cutting - Manufacturing Technology - modified merchant theory
Manufacturing Technology
ME3493 4th semester Mechanical Dept | 2021 Regulation | 4th Semester Mechanical Dept 2021 Regulation