The following assumptions are made by Merchant to work out the force relations.
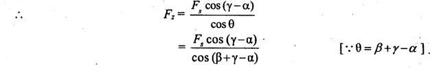
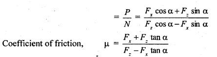
MERCHANT CIRCLE DIAGRAM OF FORCES The following assumptions are made by Merchant to work out the force relations. (i) The chip may be considered as a separate body held in equilibrium under the action of two equal, opposite and collinear resultant forces. i.e. F and F'. (ii) The chip formation will be continuous without built up edge. (iii) During cutting process, the cutting velocity remains constant. (iv) The cutting tool has a sharp cutting edge so that it does not make a flank contact with the workpiece. Figure 1.18 shows a Merchant circle diagram which is convenient to determine the relation between various forces and angles. In this diagram, two force triangles of Figure 1.18 are combined, and F and F' together are replaced by F'. The circle has a diameter equal to F or F' passing through tool point as shown in Figure 1.18. The cutting force Fz and feed force Fx can be determined by using a dynamometer. After measuring Fx and Fz, they are drawn into a suitable scale. The resultant of Fx and Fz is the diameter of the circle i.e. F. The rake angle (α) is measured from the tool and forces P and N are determined. The shear angle (β) are obtained from the relation. Then all force components on the chip are determined from the geometry of Figure 1.18. In Figure 1.18, let α = Rake angle of the tool β = Shear angle γ = Friction angle When the chip slides over the tool face under the pressure, there is some friction between these two. Therefore, the kinetic coefficient of is obtained below. Friction (μ) can be expressed as coefficient of friction, As mentioned earlier, the shear angle (β) is obtained from the equation (1.8), Substituting F value in Fz equation, We know that μ = tan γ The relationship for Fs and Fn are given by Fs = Fz cos β – Fz sin β Fn = Fz sin β + Fx cos β




Manufacturing Technology: Unit I: Mechanics of Metal Cutting : Tag: : Mechanics of Metal Cutting - Manufacturing Technology - Merchant circle diagram of forces
Manufacturing Technology
ME3493 4th semester Mechanical Dept | 2021 Regulation | 4th Semester Mechanical Dept 2021 Regulation