In a mechanical vibration, the particles have both kinetic energy and potential energy.
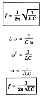
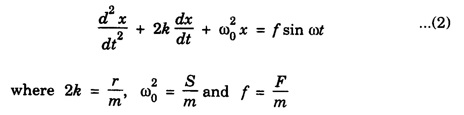
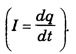
MECHANICAL AND ELECTRICAL ANALOGUES In a mechanical vibration, the particles have both kinetic energy and potential energy. The total energy is sum of these two energies. The energy of mechanical oscillator is damped by an opposing force (for example air friction). The equation of motion is given by In the case of spring An electrical oscillating system has potential energy which is stored as electrostatic energy in a capacitor. Further during electrical oscillation, there is a transfer of energy between electrical and magnetic energy in the case of LC oscillators. The electrical oscillator system is described by charge q, current Now we shall discuss similarity between mechanical system and electrical system. One of the most popular and very important resonant system is an electrical system. It consists of a capacitance (C), an inductance (L) and a resistance (R). It is shown in figure 3.12. Here V = V0, sin ωt is applied voltage. It is distributed among the three components as, The equation (1) is similar to equation of motion for a forced vibration. It is noted that the mass m is analogous to self inductance L, r to the electrical resistance R, compliance 1/S to the electrical capacitance C, the force F to the voltage V0, the displacement x to the charge q, and the velocity Here the mechanical quantities and electrical analogues are given below:
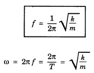
When oscillator is free from damping. The mechanical oscillator (pendulum etc) is described by its position, velocity and acceleration.
and frequency of oscillator is given by



to the electrical current 

Engineering Physics: Unit III: a. Oscillations : Tag: : Oscillations - Mechanical and Electrical Analogues
Engineering Physics
PH3151 1st semester | 2021 Regulation | 1st Semester Common to all Dept 2021 Regulation