Length of belt can be determined practically as well as mathematically.
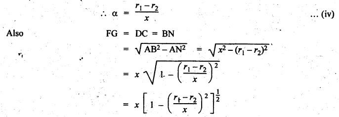
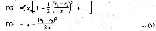
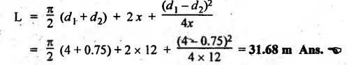
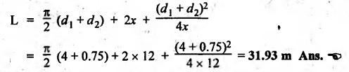
LENGTH OF BELT Length of belt can be determined practically as well as mathematically. In practical method, a string is taken round the pulleys and its length is measured. Mathematical expressions for length for the open and the crossed belt can be derived as follows. We know that in open belt drive, both the pulleys rotate in the same direction as shown in Fig.8.18. Let A and B be centres of the pulleys. Let r1 and r2 = Radii of the larger and smaller pulleys, x = Distance between the centres A and B, L = Total length of the belt, and 2α = Angle subtended between the straight portions of the belt. From B, draw a dotted line BN parallel to DC. Total length of the belt is given by L = Arc EF + FG+ Arc GH + Arc HC + CD + Arc DE But Arc EF = Arc DE; Arc GH = Arc HC; FG = CD Since a is very small, therefore sin α = α Expanding this equation by using binomial theorem, we get Substituting equations (ii) to (v) in equation (i), we get Note (i) The equation (8.6) gives approximate length of belt for open belt drive. (ii) The exact length of belt for an open belt drive is given by the equation We know that in cross belt drive, both the pulleys rotate in the opposite direction, ás shown in Fig.8.19. Let A and B be the centres of the pulleys. Let r1 and r2 = Radii of the larger and smaller pulleys, x = Distance between the centres A and B, L = Total length of the belt, and 2α = Angle between the belting. From B, draw a dotted line BN parallel to CD. Extend AD to AN. Total length of the belt is given by L = Arc DE + Arc EF + FG + Arc GH + Arc HC + CD But Arc DE = Arc EF; FG = CD; Arc GH = Arc HC Since a is very small, therefore sin α = α Again from triangle ABN, Expanding this equation by using binomial theorem, we get Substituting equations (ii) to (y) in equation (i), we get Note (i) The equation (8.8) gives approximate length of belt for cross belt drive. (ii) The exact length of belt for cross belt drive is given by the equation For open belt drive: For cross belt drive: Example 8.3 Find the lengths for both open belt drive and cross belt drive necessary to drive a pulley of 750 mm diameter running parallel at a distance of 12 metres from the driving pulley of diameter 4000 mm. Given data: d2 = 750 mm = 0.75 m; x = 12 m; d1 = 4000 mm = 4 m. Solution: (a) For open belt drive: We know that the length of open belt drive, (b) For cross belt drive: We know that the length of cross belt drive,1. Length of an Open Belt Drive






2. Length of Cross Belt Drive







3. Determination of Angle of Contact




Theory of Machines: Unit III: Friction in Machine Elements : Tag: : Friction in Machine Elements - Theory of Machines - Length of belt
Theory of Machines
ME3491 4th semester Mechanical Dept | 2021 Regulation | 4th Semester Mechanical Dept 2021 Regulation