Transformers are used in ac systems for the measurement of current, voltage, power and energy.
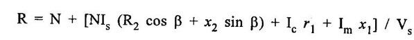
INSTRUMENT TRANSFORMER Transformers are used in ac systems for the measurement of current, voltage, power and energy. Instrument transformers are classified according to their uses as Current Transformer (CT) and Potential Transformer (PT). It has a primary winding with a small number of turns, connected in series with a line carrying the current to be measured. The secondary winding has a larger number of turns and is connected to a current meter or a relay coil as shown in fig. 5.20 where N = turns ratio = no. of turns of secondary winding / no. of turns of primary winding. I0 = exciting current I = secondary current δ = angle between the secondary induced emf and secondary current and α = angle between I0 and working flux Phase angle θ is the angle by which I, when reversed, differs in phase from the primary current. where kn = nominal ratio = rated primary current / rated secondary current Potential transformer is used to operate voltmeters, potential coils of wattmeters and relays from high voltage lines. The primary winding of the transformer is connected across the lines carrying the voltage to be measured and the voltage circuit is connected across the secondary winding (Fig. 5.21) The transformer ratio R is where N = turns ratio Is = secondary winding current Ic = exciting current Im = magnetizing component of no-load (exciting) current β = phase angle of secondary load circuit Vs = secondary winding terminal voltage r1, x1 = resistance and reactance of primary windings R2, X2 = equivalent resistance and reactance of a transformer referred X2 to secondary side. The phase angle θ is Instrument transformers extend the range of the ac measuring instruments. 1. Moderate size instrument transformers are used for metering. 2. Cheaper single range instrument can be used to cover a large current or voltage range. 3. The metering circuit consumers lower power and is isolated from high power circuits. 4. Several instruments can be operated from a single instrument transformer.1. Current Transformer (CT)


2. Potential "Transformer (PT).



Range Extension
Advantages
Basic Electrical and Electronics Engineering: Unit V: Measurements and Instrumentation : Tag: : Construction, Operation Working Principle, Advantages - Instrument Transformer
Basic Electrical and Electronics Engineering
BE3251 2nd semester Mechanical Dept | 2021 Regulation | 2nd Semester Mechanical Dept 2021 Regulation
Basic Electrical and Electronics Engineering
BE3251 2nd Semester CSE Dept 2021 | Regulation | 2nd Semester CSE Dept 2021 Regulation