Sine series: To expand f(x) as a sine series in (0,л) or (0,l), extend the function reflecting it in the origin, so f(-x) = −f (x).
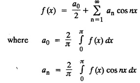
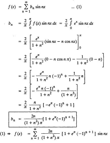
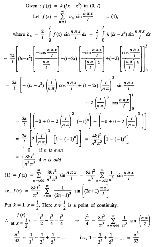
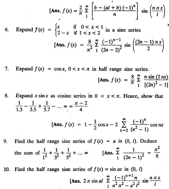
HALF-RANGE SERIES (a) HALF-RANGE SINE SERIES (b) HALF-RANGE COSINE SERIES Sine series: To expand f(x) as a sine series in (0,л) or (0,l), extend the function reflecting it in the origin, so f(-x) = −f (x). Cosine series: To expand f(x) as a cosine series in (0, л) oг (0, l), we extend the function reflecting it in the y-axis, so that f(-x) = f(x). Example 2.3.1: Write the formula for Fourier constants to expand f(x) as a sine series in (0, л). Solution : Example 2.3.2: Write the formula for Fourier constants to expand f(x) as a sine series in (0, l). Solution : Example 2.3.3: Write the formula for Fourier constants to expand f(x) as a cosine series in (0, π). Solution : Example 2.3.4: Write the formula for Fourier constants to expand f(x) as a cosine series in (0, l). Solution : Problems based on Half-Range Sine Series Example 2.3.a(1): Expand the function f(x) = x, 0 < x < π in Fourier sine series. Solution: Given ƒ (x) = x in 0 < x < π Example 2.3.a(2) : Find the Half range Fourier sine series for f(x) = x in (0, l). Solution: Let the required Fourier series be Example 2.3.a(3) : Find the half range Fourier sine series for sinh ax in 0 < x < π. Solution: Example 2.3.a(4) : Find the half range sine series for the function f(x) = x- = x − x2, 0 < x < 1 Solution : Example 2.3.a(5) : Find the sine series of f (x) = ex in (0, π). Solution: Let the required Fourier series be Example 2.3.a(6) : Find the Fourier sine series of f(x) = l − x in (0, l) Solution : Example 2.3.a(7): Find the Half range sine series for f(x) = x (π − x) in (0, л). Deduce that Solution: Let the half range sine series be Example 2.3.a(8): Find the sine series of Solution: Let the half range sine series be Example 2.3.a(9) : Express f(x) as a Fourier sine series where Solution : Let the required Fourier sine series be Example 2.3.a(10): Obtain the sine series for the function Solution: The sine series for the function f(x) in (0, l) is given by Example 2.3.a(11): If ƒ (x) = k (lx − x2) in the range (0, l), show that the half range sine series for Solution: - Problems based on Half-Range cosine series Example 2.3.b(1): Find the Fourier cosine series for f(x) = x2 in 0 < x < л Solution: Example 2.3.b(2): Expand the function f(x) = sin x, 0 < x < л in Fourier cosine series. Solution: Let the required Fourier cosine series be Example 2.3.b(3) : Expand f(x) = Solution: Example 2.3.b(4) Find the Half-range cosine series for f(x) = (x − 1)2 in (0, 1). Hence show that Solution: Here l = 1 ⸫ The required Fourier cosine series be Example 2.3.b(5): Find the cosine series of f (x) = ex in (0, 1). Solution: Let the required Fourier cosine series be Example 2.3.b(6) : Find the half range cosine series of f(x) = x in 0 < x < л. Solution: Let the required Half range cosine series be Example 2.3.b(7): Find the half range cosine series of f(x) = (x − x2) in the interval (0,л). Solution: Example 2.3.b(8): Find the half-range cosine series for the function f(x) = x(л - x) in 0 < x < л. Solution: Half range series 1. Express as a Fourier Sine Series 5. Find the Fourier sine series for f(x) = ax + b in 0 < x < l 11. Find the half range cosine series for 19. Find the Fourier sine series for the function





(a) HALF-RANGE SINE SERIES
















2.3 (b) Half-range cosine series


as a cosine series.






EXERCISE 2.3




Transforms and Partial Differential Equations: Unit II: Fourier Series : Tag: : Sine and Cosine series with Solved Example Problems | Fourier Series - Half-range series
Transforms and Partial Differential Equations
MA3351 3rd semester civil, Mechanical Dept | 2021 Regulation | 3rd Semester Mechanical Dept 2021 Regulation