The uniform velocity motion, also known as uniform motion, is considered not suitable from practical point of view.
FOLLOWER MOTION WITH UNIFORM VELOCITY (OR UNIFORM MOTION)
• The uniform velocity motion, also
known as uniform motion, is considered not suitable from practical point of
view. However, the discussion about uniform motion is presented here for its
academic importance.
• The displacement diagram, when a
follower moves with uniform velocity is shown in Fig.3.13.

• Since the velocity of the follower is
uniform, therefore the slope of the displacement curve must be constant.
• The constant slope is represented by
straight lines BC and DE during the rise and return strokes respectively. CD
and EF represent the dwell periods.
(i) Displacement of Follower
At
any instant, the velocity of the follower having uniform velocity motion is
given by
v
= constant .... (3.1)
or
dy/dt
= C
By
integrating, we get
y
= Ct + A
where
A is constant of integration.
At
t = 0, y = 0. ⸫ A = 0.

The
equations (3.3) and (3.4) imply that follower displacement is directly
proportional to cam rotation, during outstroke and return stroke. Since the
slope is constant, the displacement curve will be a straight line.
(ii) Velocity of Follower
We
know that velocity is the rate of change of displacement with respect to time.

The
equations (3.5) and (3.6) imply that the velocity of the follower remains
constant during outstroke and return stroke.
Maximum
velocity of follower during outward and return strokes
Since
the velocity of follower remains constant, the maximum velocity of follower
during outward and return strokes are given as

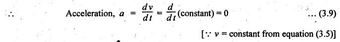
(iii) Acceleration of Follower
• We know that acceleration is the rate
of change of velocity with respect to time.

• Thus the acceleration of the follower
during outstroke and return stroke is zero.

Maximum
acceleration of follower
At
the beginning of outstroke, a finite velocity is to be obtained within no time
and this requires infinite (+∞) acceleration. Similarly, at the end of the
outstroke, a finite velocity is to be brought down to zero within no time and
this requires infinite retardation (-∞). In the same way, at the beginning of
the return stroke, infinite retardation (-∞) is required, whereas at the end of
the return stroke infinite acceleration (+∞) is required.

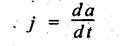
(iv) Jerk of Follower
We
know that,
Jerk
= Rate of change of acceleration with respect to time

Since
the acceleration is zero during both outward and return strokes, therefore the
jerk is also zero during both strokes.

Maximum
jerk of follower
Since
the acceleration is infinite at the beginning and at the end of the outward and
return strokes, therefore the jerk is also infinite at the beginning and at the
end of both strokes.

• Fig.3.14 illustrates the
displacement, velocity, acceleration and jerk diagrams when a follower moves
with uniform velocity.
• The infinite acceleration or
retardation at the beginning and at the end of each stroke results in infinite
inertia forces (= ma, where a = ∞) that are exerted at the
follower bearings and also at the contact point on the cam surface.
• Due to the above drawback, the
constant velocity motion is not suitable from practical point of view
and hence it is rarely used.

• In order to achieve the finite values
of acceleration and retardation at the beginning and end of each stroke, the
uniform motion conditions need to be modified. This can be done by rounding off
the sharp corners of the displacement diagram.
• Now the changes in velocity are
gradual and hence finite values of acceleration and retardation are obtained at
the beginning and end of each stroke.
• The displacement, velocity, and
acceleration diagrams for the modified uniform motion of the follower are shown
in Fig.3.15.
• Even this modified uniform
motion is considered practically not suitable, because the values of
acceleration and retardation at the beginning and end of each stroke are still
very high.
Theory of Machines: Unit I: Kinematics of Mechanisms : Tag: : Kinematics of Mechanisms - Theory of Machines - follower motion with uniform velocity (or uniform motion)
Theory of Machines
ME3491 4th semester Mechanical Dept | 2021 Regulation | 4th Semester Mechanical Dept 2021 Regulation