Slip is defined as the relative motion between the belt and pulley due to insufficient friction between bolt and pulley.
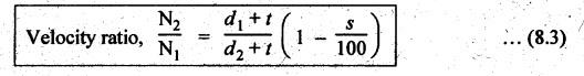
EFFECT OF SLIP ON VELOCITY RATIO • Slip is defined as the relative motion between the belt and pulley due to insufficient friction between bolt and pulley. • The difference between the linear speeds of the pulley rim and belt is the measure of slip. • The reason for slip to occur is that there is a tendency for the belt to carry with it on the underside, between the pulley and the belt i.e., the friction grip between belt and pulley is insufficient. • The presence of slip reduces the velocity ratio of the drive. • Generally the slip is expressed in percentage. Derivation: Let s1 = Percentage slip between the driving pulley and the belt, s2 = Percentage slip between the belt and the driven pulley, and s = s1 + s2 = Total percentage of slip between the driving and driven pulleys. (a) Neglecting thickness of belt: Peripheral velocity of the driving pulley The velocity of belt passing over the driving pulley will decrease due to the slip (s1/100) between the driving pulley and the belt. As the belt passes over the driven pulley, due to slip (s2/100) between the belt and the driven pulley, the velocity of the driven pulley will decrease. Substituting the value of velocity of belt from equation (i), we get Equating equations (iii) and (ii), we get (b) Considering thickness of belt: If thickness of belt (t) is considered, then





Theory of Machines: Unit III: Friction in Machine Elements : Tag: : Friction in Machine Elements - Theory of Machines - effect of slip on velocity ratio
Theory of Machines
ME3491 4th semester Mechanical Dept | 2021 Regulation | 4th Semester Mechanical Dept 2021 Regulation