Anna University (16 Marks) Questions : Engineering Physics: Basic Quantum Mechanics
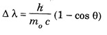
Anna University Part - B (16 Marks) Questions 1. (i) Define Compton effect. (ii) Derive an expression for the wavelength of the scattered photon (compton shift). 2. (i) What is Compton effect? (ii) Give the theory of Compton effect and show that the Compton shift 3. Explain Compton effect and derive an expression for the wavelength of scattered photon. Also briefly explain its experimental verification. 4. Arrive at the Schrondinger wave equation and apply the same for a particle in a rectangular box to obtain the energy eigen values and the corresponding eigen functions. 5. Derive the time independent Schrodinger equation for a one-dimensional case. Use it to prove that a particle enclosed in a one-dimensional box has quantised energy values. 6. Solve Schrodinger wave equation of a particle in box (one dimensional) and obtain the energy eigen values. 7. Derive an expression for energy levels of a particle enclosed in one-dimensional potential box of width 'a' and infinite height. 8. Discuss free particle problem starting from schrodinger wave equation. 9. Derive eigen value end eigen energy function for 2D dimensional box. 10. Derive eigen value end eigen function for 3D dimensional box. 11. State Band prove Bohr's correspondance principle. ADDITIONAL PART B '16' MARKS' QUESTIONS 1. Obtain the eigen values and eigen functions for an electron enclosed in a one dimensional potential box.
Engineering Physics: Unit IV: Basic Quantum Mechanics : Tag: : Basic Quantum Mechanics | Engineering Physics - 16 Marks Questions
Engineering Physics
PH3151 1st semester | 2021 Regulation | 1st Semester Common to all Dept 2021 Regulation